Super learner analysis of electronic adherence data improves viral prediction and may provide strategies for selective HIV RNA monitoring
Supporting Files
-
5 1 2015
-
File Language:
English
Details
-
Alternative Title:J Acquir Immune Defic Syndr
-
Personal Author:Petersen, Maya L. ; LeDell, Erin ; Schwab, Joshua ; Sarovar, Varada ; Gross, Robert ; Reynolds, Nancy ; Haberer, Jessica E. ; Goggin, Kathy ; Golin, Carol ; Arnsten, Julia ; Rosen, Marc ; Remien, Robert ; Etoori, David ; Wilson, Ira ; Simoni, Jane M. ; Erlen, Judith A. ; van der Laan, Mark J. ; Liu, Honghu ; Bangsberg, David R
-
Description:Objective
Regular HIV RNA testing for all HIV positive patients on antiretroviral therapy (ART) is expensive and has low yield since most tests are undetectable. Selective testing of those at higher risk of failure may improve efficiency. We investigated whether a novel analysis of adherence data could correctly classify virological failure and potentially inform a selective testing strategy.
Design
Multisite prospective cohort consortium.
Methods
We evaluated longitudinal data on 1478 adult patients treated with ART and monitored using the Medication Event Monitoring System (MEMS) in 16 United States cohorts contributing to the MACH14 consortium. Since the relationship between adherence and virological failure is complex and heterogeneous, we applied a machine-learning algorithm (Super Learner) to build a model for classifying failure and evaluated its performance using cross-validation.
Results
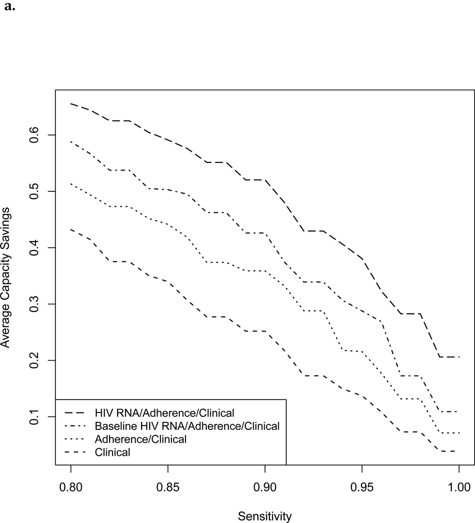
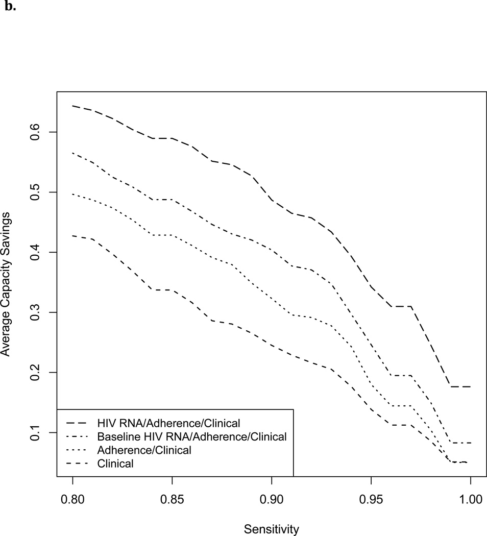
Application of the Super Learner algorithm to MEMS data, combined with data on CD4+ T cell counts and ART regimen, significantly improved classification of virological failure over a single MEMS adherence measure. Area under the ROC curve, evaluated on data not used in model fitting, was 0.78 (95% CI: 0.75, 0.80) and 0.79 (95% CI: 0.76, 0.81) for failure defined as single HIV RNA level >1000 copies/ml or >400 copies/ml, respectively. Our results suggest 25–31% of viral load tests could be avoided while maintaining sensitivity for failure detection at or above 95%, for a cost savings of $16–$29 per person-month.
Conclusions
Our findings provide initial proof-of-concept for the potential use of electronic medication adherence data to reduce costs through behavior-driven HIV RNA testing.
-
Subjects:
-
Keywords:
-
Source:J Acquir Immune Defic Syndr. 69(1):109-118
-
Pubmed ID:25942462
-
Pubmed Central ID:PMC4421909
-
Document Type:
-
Funding:R01 MH058986/MH/NIMH NIH HHSUnited States/ ; K08 MH01584/MH/NIMH NIH HHSUnited States/ ; R01 MH078773/MH/NIMH NIH HHSUnited States/ ; R01MH61695/MH/NIMH NIH HHSUnited States/ ; K23MH087228/MH/NIMH NIH HHSUnited States/ ; AI069419/AI/NIAID NIH HHSUnited States/ ; R01MH078773/MH/NIMH NIH HHSUnited States/ ; R01 MH061695/MH/NIMH NIH HHSUnited States/ ; R01 MH054907/MH/NIMH NIH HHSUnited States/ ; CC99-SD003/CC/ODCDC CDC HHSUnited States/ ; CC02-SD-003/CC/ODCDC CDC HHSUnited States/ ; P30 MH062294/MH/NIMH NIH HHSUnited States/ ; R01MH61173/MH/NIMH NIH HHSUnited States/ ; R01 DA015215/DA/NIDA NIH HHSUnited States/ ; AI38858/AI/NIAID NIH HHSUnited States/ ; P30 MH043520/MH/NIMH NIH HHSUnited States/ ; R01 NR004749/NR/NINR NIH HHSUnited States/ ; R01MH068197/MH/NIMH NIH HHSUnited States/ ; R01DA13826/DA/NIDA NIH HHSUnited States/ ; K24 MH092242/MH/NIMH NIH HHSUnited States/ ; K23 MH087228/MH/NIMH NIH HHSUnited States/ ; R01MH58986/MH/NIMH NIH HHSUnited States/ ; K02DA017277/DA/NIDA NIH HHSUnited States/ ; P30 AI045008/AI/NIAID NIH HHSUnited States/ ; R01 DA015679/DA/NIDA NIH HHSUnited States/ ; R01 MH061173/MH/NIMH NIH HHSUnited States/ ; R01DA015679/DA/NIDA NIH HHSUnited States/ ; P30-AI50410/AI/NIAID NIH HHSUnited States/ ; K23MH01862/MH/NIMH NIH HHSUnited States/ ; U01 AI038858/AI/NIAID NIH HHSUnited States/ ; K08 MH001584/MH/NIMH NIH HHSUnited States/ ; R01AI41413/AI/NIAID NIH HHSUnited States/ ; K02 DA017277/DA/NIDA NIH HHSUnited States/ ; P01MH49548/MH/NIMH NIH HHSUnited States/ ; R01 AI074345/AI/NIAID NIH HHSUnited States/ ; R01DA11869/DA/NIDA NIH HHSUnited States/ ; R01 MH068197/MH/NIMH NIH HHSUnited States/ ; R01MH54907/MH/NIMH NIH HHSUnited States/ ; P30 AI042853/AI/NIAID NIH HHSUnited States/ ; R01DA15215/DA/NIDA NIH HHSUnited States/ ; UM1 AI069419/AI/NIAID NIH HHSUnited States/ ; R01NR04749/NR/NINR NIH HHSUnited States/ ; R01 DA013826/DA/NIDA NIH HHSUnited States/ ; U01 AI069419/AI/NIAID NIH HHSUnited States/ ; P30 AI050410/AI/NIAID NIH HHSUnited States/
-
Volume:69
-
Issue:1
-
Collection(s):
-
Main Document Checksum:urn:sha256:5099e45a522be2fb55d2f625bf4905e251a0781d0c9c7886dcac1b6026d40680
-
Download URL:
-
File Type:
Supporting Files
File Language:
English
ON THIS PAGE
CDC STACKS serves as an archival repository of CDC-published products including
scientific findings,
journal articles, guidelines, recommendations, or other public health information authored or
co-authored by CDC or funded partners.
As a repository, CDC STACKS retains documents in their original published format to ensure public access to scientific information.
As a repository, CDC STACKS retains documents in their original published format to ensure public access to scientific information.
You May Also Like
COLLECTION
CDC Public Access