Comparison of spike sorting and thresholding of voltage waveforms for intracortical brain-machine interface performance
Supporting Files
-
2 2015
-
File Language:
English
Details
-
Alternative Title:J Neural Eng
-
Personal Author:
-
Description:Objective
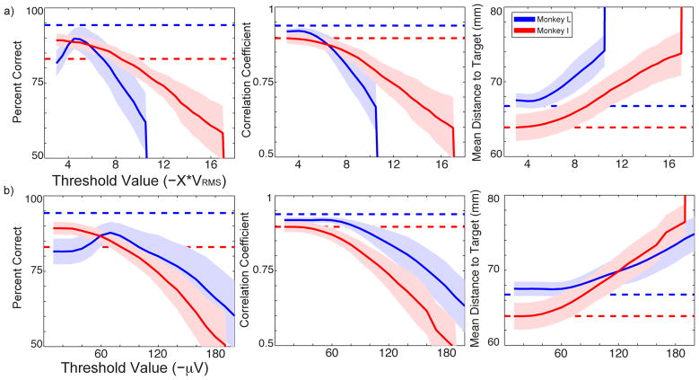
For intracortical brain-machine interfaces (BMIs), action potential voltage waveforms are often sorted to separate out individual neurons. If these neurons contain independent tuning information, this process could increase BMI performance. However, the sorting of action potentials (“spikes”) requires high sampling rates and is computationally expensive. To explicitly define the difference between spike sorting and alternative methods, we quantified BMI decoder performance when using threshold-crossing events versus sorted action potentials.
Approach
We used data sets from 58 experimental sessions from two rhesus macaques implanted with Utah arrays. Data were recorded while the animals performed a center-out reaching task with seven different angles. For spike sorting, neural signals were sorted into individual units by using a mixture of gaussians to cluster the first four principal components of the waveforms. For thresholding events, spikes that simply crossed a set threshold were retained. We decoded the data offline using both a Naïve Bayes classifier for reaching direction and a linear regression to evaluate hand position.
Results
We found the highest performance for thresholding when placing a threshold between −3 to −4.5*VRMS. Spike sorted data outperformed thresholded data for one animal but not the other. The mean Naïve Bayes classification accuracy for sorted data was 88.5% and changed by 5% on average when data was thresholded. The mean correlation coefficient for sorted data was 0.92, and changed by 0.015 on average when thresholded.
Significance
For prosthetics applications, these results imply that when thresholding is used instead of spike sorting, only a small amount of performance may be lost. The utilization of threshold-crossing events may significantly extend the lifetime of a device because these events are often still detectable once single neurons are no longer isolated.
-
Subjects:
-
Keywords:
-
Source:J Neural Eng. 12(1):016009
-
Pubmed ID:25504690
-
Pubmed Central ID:PMC4332592
-
Document Type:
-
Funding:
-
Volume:12
-
Issue:1
-
Collection(s):
-
Main Document Checksum:urn:sha256:875f0490b7442ac326cdada570ba093a0c02b36f46cb44d9d4547c7c48826f8c
-
Download URL:
-
File Type:
Supporting Files
File Language:
English
ON THIS PAGE
CDC STACKS serves as an archival repository of CDC-published products including
scientific findings,
journal articles, guidelines, recommendations, or other public health information authored or
co-authored by CDC or funded partners.
As a repository, CDC STACKS retains documents in their original published format to ensure public access to scientific information.
As a repository, CDC STACKS retains documents in their original published format to ensure public access to scientific information.
You May Also Like
COLLECTION
CDC Public Access