U.S. flag An official website of the United States government.
Official websites use .gov

A .gov website belongs to an official government organization in the United States.

Secure .gov websites use HTTPS

A lock ( ) or https:// means you've safely connected to the .gov website. Share sensitive information only on official, secure websites.

i

Serological Measures of Malaria Transmission in Haiti: Comparison of Longitudinal and Cross-Sectional Methods

Supporting Files Public Domain
File Language:
English


Details

  • Alternative Title:
    PLoS One
  • Personal Author:
  • Description:
    Background

    Efforts to monitor malaria transmission increasingly use cross-sectional surveys to estimate transmission intensity from seroprevalence data using malarial antibodies. To date, seroconversion rates estimated from cross-sectional surveys have not been compared to rates estimated in prospective cohorts. Our objective was to compare seroconversion rates estimated in a prospective cohort with those from a cross-sectional survey in a low-transmission population.

    Methods and Findings

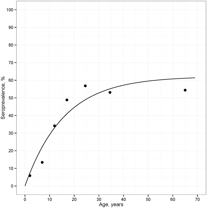
    The analysis included two studies from Haiti: a prospective cohort of 142 children ages ≤11 years followed for up to 9 years, and a concurrent cross-sectional survey of 383 individuals ages 0–90 years old. From all individuals, we analyzed 1,154 blood spot specimens for the malaria antibody MSP-119 using a multiplex bead antigen assay. We classified individuals as positive for malaria using a cutoff derived from the mean plus 3 standard deviations in antibody responses from a negative control set of unexposed individuals. We estimated prospective seroconversion rates from the longitudinal cohort based on 13 incident seroconversions among 646 person-years at risk. We also estimated seroconversion rates from the cross-sectional survey using a reversible catalytic model fit with maximum likelihood. We found the two approaches provided consistent results: the seroconversion rate for ages ≤11 years was 0.020 (0.010, 0.032) estimated prospectively versus 0.023 (0.001, 0.052) in the cross-sectional survey.

    Conclusions

    The estimation of seroconversion rates using cross-sectional data is a widespread and generalizable problem for many infectious diseases that can be measured using antibody titers. The consistency between these two estimates lends credibility to model-based estimates of malaria seroconversion rates using cross-sectional surveys. This study also demonstrates the utility of including malaria antibody measures in multiplex assays alongside targets for vaccine coverage and other neglected tropical diseases, which together could comprise an integrated, large-scale serological surveillance platform.

  • Subjects:
  • Source:
    PLoS One. 2014; 9(4).
  • Document Type:
  • Place as Subject:
  • Volume:
    9
  • Issue:
    4
  • Collection(s):
  • Main Document Checksum:
    urn:sha256:0c728bb92eb74f8be9720e98284b3a041edd7b88277eb475ce55e13f7fc29936
  • Download URL:
  • File Type:
    Filetype[PDF - 424.40 KB ]
File Language:
English
ON THIS PAGE

CDC STACKS serves as an archival repository of CDC-published products including scientific findings, journal articles, guidelines, recommendations, or other public health information authored or co-authored by CDC or funded partners.

As a repository, CDC STACKS retains documents in their original published format to ensure public access to scientific information.