Anxiety Symptoms Differ in Youth With and Without Tic Disorders
Supporting Files
-
4-2021
-
File Language:
English
Details
-
Alternative Title:Child Psychiatry Hum Dev
-
Personal Author:
-
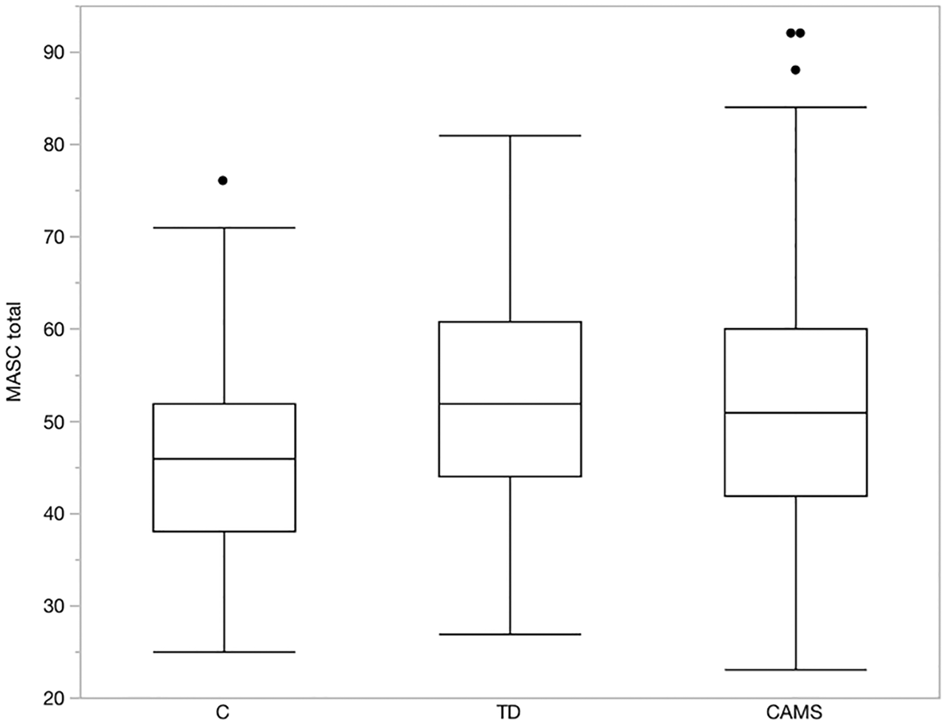
Description:We compared anxiety symptoms in youth with and without tic disorders by comparing scores on the Multidimensional Anxiety Scale for Children (MASC) in youth with tic disorders to those in a concurrent community control group and in a group of treatment-seeking anxious youth from the Child/Adolescent Anxiety Multimodal Study (CAMS). Data from 176 youth with tic disorders, 93 control subjects, and 488 CAMS participants were included. Compared to youth with tic disorders, controls had lower total MASC scores (p < 0.0001) and CAMS participants had similar total MASC scores (p = 0.13). Separation Anxiety (p = 0.0003) and Physical Symptom (p < 0.0001) subscale scores were higher in youth with tic disorders than in CAMS participants. We conclude that the anxiety symptom profile differs in youth with and without tic disorders, which may have important implications for targeting treatment of anxiety in youth with tic disorders.
-
Subjects:
-
Keywords:
-
Source:Child Psychiatry Hum Dev. 52(2):301-310
-
DOI:
-
Pubmed ID:32519083
-
Pubmed Central ID:PMC11749237
-
Document Type:
-
Funding:
-
Volume:52
-
Issue:2
-
Collection(s):
-
Main Document Checksum:urn:sha-512:18c1815000b509149aafdd8b095432a5dcf95ab19de76e9568a75a1045b8956a5d509d4cb59a63dd1fdf0cfd0f51f3316e9fbafe5afe0ef0e09f5e4658d19ef2
-
Download URL:
-
File Type:
Supporting Files
File Language:
English
ON THIS PAGE
CDC STACKS serves as an archival repository of CDC-published products including
scientific findings,
journal articles, guidelines, recommendations, or other public health information authored or
co-authored by CDC or funded partners.
As a repository, CDC STACKS retains documents in their original published format to ensure public access to scientific information.
As a repository, CDC STACKS retains documents in their original published format to ensure public access to scientific information.
You May Also Like
COLLECTION
CDC Public Access