U.S. flag An official website of the United States government.
Official websites use .gov

A .gov website belongs to an official government organization in the United States.

Secure .gov websites use HTTPS

A lock ( ) or https:// means you've safely connected to the .gov website. Share sensitive information only on official, secure websites.

i

A whole transcriptomic approach provides novel insights into the molecular basis of organophosphate and pyrethroid resistance in Anopheles arabiensis from Ethiopia

Supporting Files
File Language:
English


Details

  • Alternative Title:
    Insect Biochem Mol Biol
  • Personal Author:
  • Description:
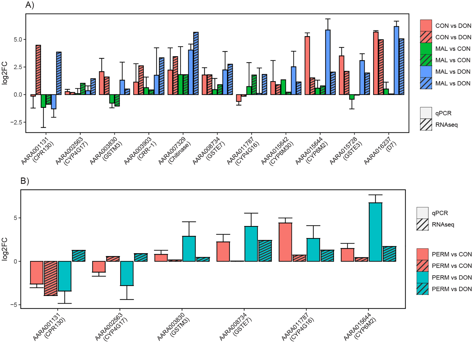
    The development of insecticide resistance in malaria vectors is of increasing concern in Ethiopia because of its potential implications for vector control failure. To better elucidate the specificity of resistance mechanisms and to facilitate the design of control strategies that minimize the likelihood of selecting for cross-resistance, a whole transcriptomic approach was used to explore gene expression patterns in a multi-insecticide resistant population of Anopheles arabiensis from Oromia Region, Ethiopia. This field population was resistant to the diagnostic doses of malathion (average mortality of 71.9%) and permethrin (77.4%), with pools of survivors and unexposed individuals analyzed using Illumina RNA-sequencing, alongside insecticide susceptible reference strains. This population also demonstrated deltamethrin resistance but complete susceptibility to alpha-cypermethrin, bendiocarb and propoxur, providing a phenotypic basis for detecting insecticide-specific resistance mechanisms. Transcriptomic data revealed overexpression of genes including cytochrome P450s, glutathione-s-transferases and carboxylesterases (including CYP4C36, CYP6AA1, CYP6M2, CYP6M3, CYP6P4, CYP9K1, CYP9L1, GSTD3, GSTE2, GSTE3, GSTE4, GSTE5, GSTE7 and two carboxylesterases) that were shared between malathion and permethrin survivors. We also identified nineteen highly overexpressed cuticular-associated proteins (including CYP4G16, CYP4G17 and chitinase) and eighteen salivary gland proteins (including D7r4 short form salivary protein), which may be contributing to a non-specific resistance phenotype by either enhancing the cuticular barrier or promoting binding and sequestration of insecticides, respectively. These findings provide novel insights into the molecular basis of insecticide resistance in this lesser well-characterized major malaria vector species.
  • Subjects:
  • Keywords:
  • Source:
    Insect Biochem Mol Biol. 139:103655
  • Pubmed ID:
    34562591
  • Pubmed Central ID:
    PMC11705372
  • Document Type:
  • Funding:
  • Volume:
    139
  • Collection(s):
  • Main Document Checksum:
    urn:sha-512:368fc40cc70ddaa34b18770c45bbd95b6ee49fa6beaa20ee43275d3748b0fabd28b334f530eed6dedcca6f5c2ae17bdc0413341e8d8c631ace19ebb8b978a475
  • Download URL:
  • File Type:
    Filetype[PDF - 1.58 MB ]
File Language:
English
ON THIS PAGE

CDC STACKS serves as an archival repository of CDC-published products including scientific findings, journal articles, guidelines, recommendations, or other public health information authored or co-authored by CDC or funded partners.

As a repository, CDC STACKS retains documents in their original published format to ensure public access to scientific information.