Reduced Effectiveness of Repeat Influenza Vaccination: Distinguishing Among Within-Season Waning, Recent Clinical Infection, and Subclinical Infection
Supporting Files
-
4 30 2024
-
File Language:
English
Details
-
Alternative Title:J Infect Dis
-
Personal Author:
-
Corporate Authors:
-
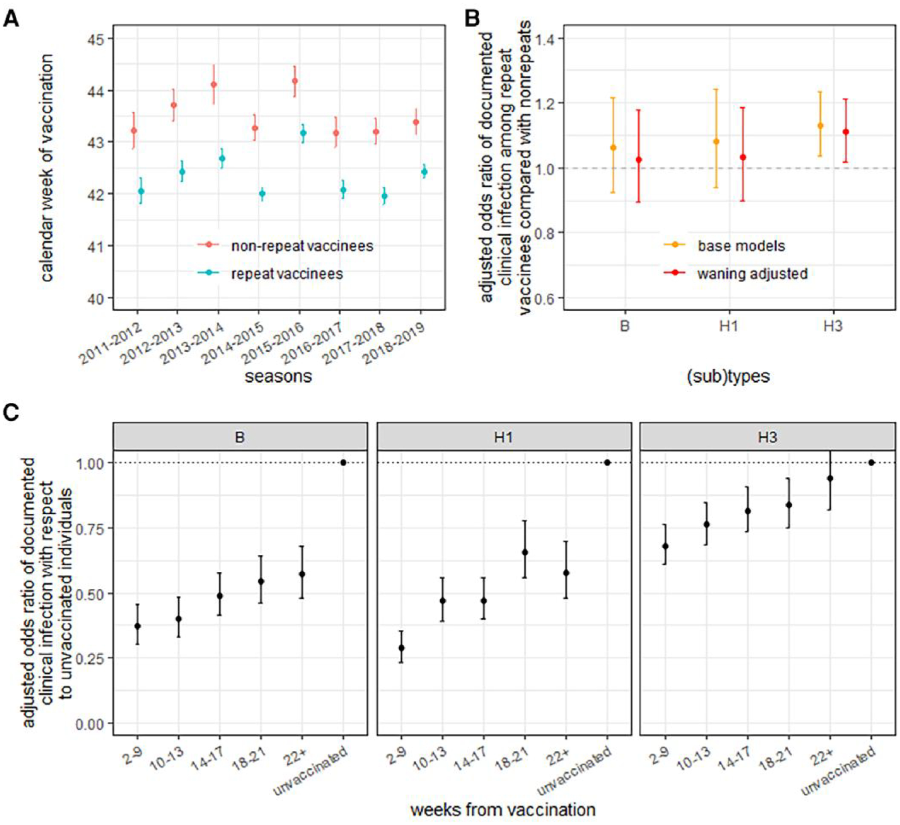
Description:Studies have reported that prior-season influenza vaccination is associated with higher risk of clinical influenza infection among vaccinees. This effect might arise from incomplete consideration of within-season waning and recent infection. Using data from the US Flu Vaccine Effectiveness Network (2011-2012 to 2018-2019 seasons), we found that repeat vaccinees were vaccinated earlier in a season by 1 week. After accounting for waning VE, we determined that repeat vaccinees were still more likely to test positive for A(H3N2) (odds ratio, 1.11; 95% CI, 1.02-1.21) but not influenza B or A(H1N1). We documented clinical infection influenced individuals' decision to vaccinate in the following season while protecting against clinical infection of the same type/subtype. However, adjusting for recent documented clinical infections did not strongly influence the estimated effect of prior-season vaccination. In contrast, we found that adjusting for subclinical or undocumented infection could theoretically attenuate this effect. Additional investigation is needed to determine the impact of subclinical infections on vaccine effectiveness.
-
Subjects:
-
Keywords:
-
Source:J Infect Dis. 230(6):1309-1318
-
Pubmed ID:38687898
-
Pubmed Central ID:PMC11646584
-
Document Type:
-
Funding:UL1 TR000005/TR/NCATS NIH HHSUnited States/ ; UL1 TR001857/TR/NCATS NIH HHSUnited States/ ; University of Michigan/ ; U01 IP000466/IP/NCIRD CDC HHSUnited States/ ; U01 IP000471/IP/NCIRD CDC HHSUnited States/ ; U01 IP000467/IP/NCIRD CDC HHSUnited States/ ; U01 IP001034/IP/NCIRD CDC HHSUnited States/ ; UL1 RR024153/RR/NCRR NIH HHSUnited States/ ; U01 IP000473/IP/NCIRD CDC HHSUnited States/ ; CC999999/ImCDC/Intramural CDC HHSUnited States/ ; NH/NIH HHSUnited States/ ; U01 IP001039/IP/NCIRD CDC HHSUnited States/ ; 75N93019C00051/AI/NIAID NIH HHSUnited States/ ; U01 IP000474/IP/NCIRD CDC HHSUnited States/ ; U01 IP001035/IP/NCIRD CDC HHSUnited States/ ; U01 IP001037/IP/NCIRD CDC HHSUnited States/ ; U01 IP001038/IP/NCIRD CDC HHSUnited States/ ; R01 GM139926/GM/NIGMS NIH HHSUnited States/
-
Volume:230
-
Issue:6
-
Collection(s):
-
Main Document Checksum:urn:sha-512:1ee24f6743cd944cbfe5ac73ab43f4d383ab8a90f8594742875fac30c59d2a365bcf5a358e04452cb21415e1e51aa951884e2ff3222b0cf04c8848fc389e53ba
-
Download URL:
-
File Type:
Supporting Files
File Language:
English
ON THIS PAGE
CDC STACKS serves as an archival repository of CDC-published products including
scientific findings,
journal articles, guidelines, recommendations, or other public health information authored or
co-authored by CDC or funded partners.
As a repository, CDC STACKS retains documents in their original published format to ensure public access to scientific information.
As a repository, CDC STACKS retains documents in their original published format to ensure public access to scientific information.
You May Also Like
COLLECTION
CDC Public Access