Manufacturing worker perceptions of using wearable inertial sensors for multiple work shifts
Supporting Files
-
1 2022
-
File Language:
English
Details
-
Alternative Title:Appl Ergon
-
Personal Author:
-
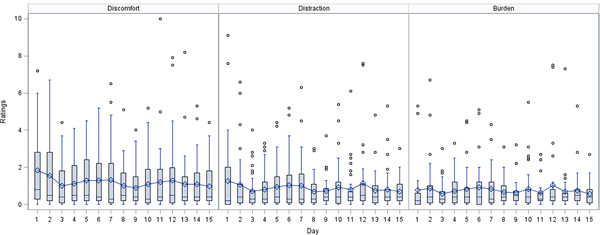
Description:Wearable inertial sensors may be used to objectively quantify exposure to some physical risk factors associated with musculoskeletal disorders. However, concerns regarding their potential negative effects on user safety and satisfaction remain. This study characterized the self-reported daily discomfort, distraction, and burden associated with wearing inertial sensors on the upper arms, trunk, and dominant wrist of 31 manufacturing workers collected over 15 full work shifts. Results indicated that the workers considered the devices as generally comfortable to wear, not distracting, and not burdensome to use. Exposure to non-neutral postures (discomfort, right arm, beta = 0.02; trunk, beta = -0.01), non-cyclic tasks (distraction, beta = -0.26), and higher body mass indices (discomfort, beta = 0.05; distraction, beta = 0.02) contributed to statistically significant (p < 0.05), albeit practically small increases in undesirable ratings. For instance, for each additional percentage of time working with the right arm elevated ≥60°, self-reported discomfort ratings increased 0.02 cm on a standard 10 cm visual analog scale. Female workers reported less discomfort and distraction while wearing the sensors at work than males (discomfort, beta = -0.93; distraction, beta = -0.3). In general, the low ratings of discomfort, distraction, and burden associated with wearing the devices during work suggests that inertial sensors may be suitable for extended use among manufacturing workers.
-
Subjects:
-
Keywords:
-
Source:Appl Ergon. 98:103579
-
Pubmed ID:34507084
-
Pubmed Central ID:PMC11627332
-
Document Type:
-
Funding:
-
Volume:98
-
Collection(s):
-
Main Document Checksum:urn:sha-512:e0f4a9fd76be8ddb746e0df8c20fdd199887640bee2d911ae1b9dbdf2c9376a3171d1ae45e9facfcb6b1627e959ad0ab093842f3da7b8aad79c45e74d1c1b303
-
Download URL:
-
File Type:
Supporting Files
File Language:
English
ON THIS PAGE
CDC STACKS serves as an archival repository of CDC-published products including
scientific findings,
journal articles, guidelines, recommendations, or other public health information authored or
co-authored by CDC or funded partners.
As a repository, CDC STACKS retains documents in their original published format to ensure public access to scientific information.
As a repository, CDC STACKS retains documents in their original published format to ensure public access to scientific information.
You May Also Like
COLLECTION
CDC Public Access