U.S. flag An official website of the United States government.
Official websites use .gov

A .gov website belongs to an official government organization in the United States.

Secure .gov websites use HTTPS

A lock ( ) or https:// means you've safely connected to the .gov website. Share sensitive information only on official, secure websites.

i

Multiple imputation of race and Hispanic ethnicity in national surveillance data for chlamydia, gonorrhea, and syphilis

Supporting Files
File Language:
English


Details

  • Alternative Title:
    Sex Transm Dis
  • Personal Author:
  • Description:
    Background

    Disease burden of sexually transmitted infections such as chlamydia, gonorrhea, and syphilis is often compared across age categories, sex categories, and race and ethnicity categories. Missing data may prevent researchers from accurately characterizing health disparities between populations. This article describes the methods used to impute race and Hispanic ethnicity in a large national surveillance data set.

    Methods

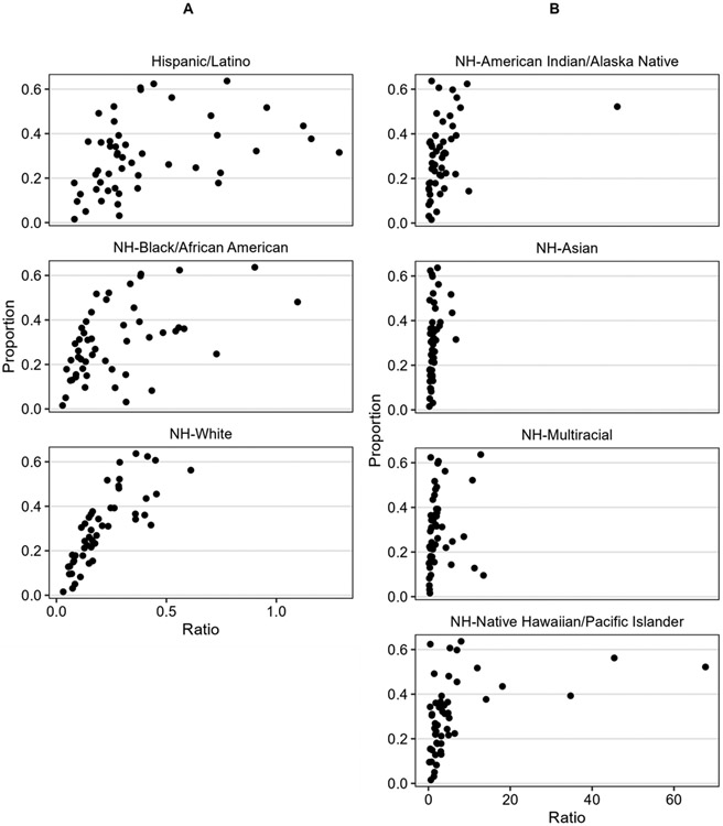
    All US cases of chlamydia, gonorrhea, and syphilis (excluding congenital syphilis) reported through the National Notifiable Diseases Surveillance System (NNDSS) from the year 2019 were included in the analyses. We used fully conditional specification to impute missing race and Hispanic ethnicity data. After imputation, reported case rates were calculated, by disease, for each race and Hispanic ethnicity category using Vintage 2019 Population and Housing Unit Estimates from the US Census. We then used case counts from subsets that contained only complete race and Hispanic ethnicity information to investigate if the confidence intervals from the multiply imputed data included the observed number of cases in each race and Hispanic ethnicity category.

    Results

    Among the 2,553,038 cases reported in 2019, race and Hispanic ethnicity were multiply imputed for 9% of syphilis cases, 22% of gonorrhea cases and 33% of chlamydia cases. In the subset analyses, every non-zero rate of reported cases was contained within the confidence intervals that were calculated from multiply imputed data.

    Conclusions

    Confidence intervals that account for the uncertainty of the predictions are an advantage of multiple imputation over complete-case analysis because a realistic variance estimate allows for valid hypothesis testing results.

  • Subjects:
  • Keywords:
  • Source:
    Sex Transm Dis. 51(11):719-727
  • Pubmed ID:
    38885519
  • Pubmed Central ID:
    PMC11560705
  • Document Type:
  • Funding:
  • Volume:
    51
  • Issue:
    11
  • Collection(s):
  • Main Document Checksum:
    urn:sha-512:d6f8128283c84bb108287ed99884012acf9fe5b129015160e922136ff78b402ed14710a5d3426af9155954e0dcb8d91116f3ca5a2dc780db2da8b677d5c5118d
  • Download URL:
  • File Type:
    Filetype[PDF - 454.24 KB ]
File Language:
English
ON THIS PAGE

CDC STACKS serves as an archival repository of CDC-published products including scientific findings, journal articles, guidelines, recommendations, or other public health information authored or co-authored by CDC or funded partners.

As a repository, CDC STACKS retains documents in their original published format to ensure public access to scientific information.