Relationship of Handgrip Strength and Asymmetry with Walking Ability in Older Adults with Excess Adiposity
Supporting Files
-
10 2024
-
File Language:
English
Details
-
Alternative Title:Adv Biol (Weinh)
-
Personal Author:
-
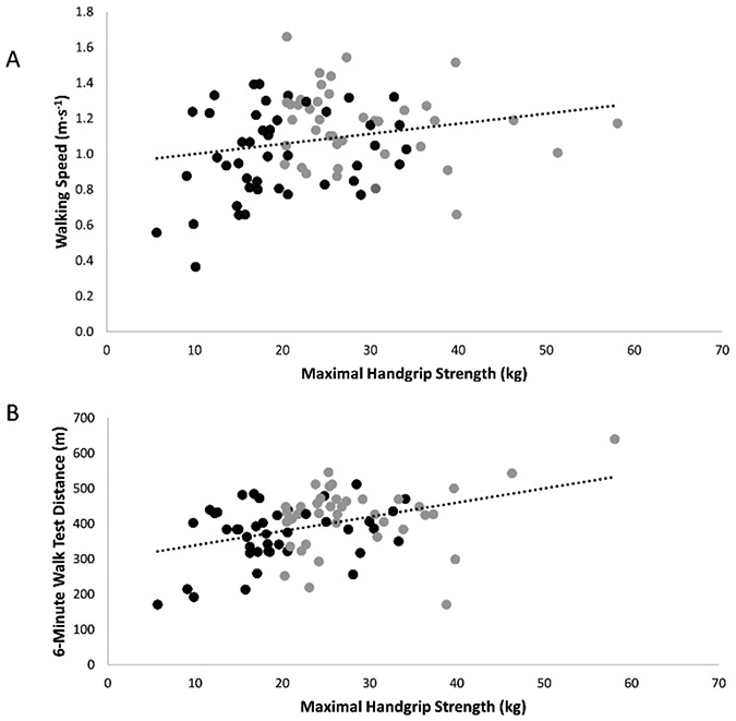
Description:When low muscle mass and impaired strength and physical function coexist with excess adiposity, it is termed sarcopenic obesity (SO). Handgrip strength (HGS) is a predictor of disability and mortality. Asymmetry in HGS, particularly ≥ 10% strength differences between hands, may indicate neuromuscular dysfunction observable prior to declines in maximal strength are detectedand therefore could be incorporated to identify those at risk of physical limitations and SO. This study compares HGS values and asymmetry in older adults with excess adiposity and evaluates their relationships with physical function. Baseline data from two previous pilot weight loss studies in 85 older adults with body mass index values ≥ 30 kg m| are included with measures of body composition, walking speed, and chair stand ability. Sixty-three participants met the criteria for SO. HGS correlated to gait speed (r = 0.22), distance walked (r = 0.40), chair stand time for 5 repetitions (r = 0.42) and during 30 s (r = 0.31). HGS asymmetry is only correlated to gait speed (r = 0.31) and there are no differences in physical function between those with and without asymmetry. Maximal HGS tests should continue to be used to screen for functional decline and disability.
-
Subjects:
-
Source:Adv Biol (Weinh). 8(10):e2400068
-
Pubmed ID:39007213
-
Pubmed Central ID:PMC11473232
-
Document Type:
-
Funding:U48DP005018/Dartmouth Health Promotion and Disease Prevention Research Center/ ; UL1 TR002489/TR/NCATS NIH HHSUnited States/ ; UL1 TR001086/TR/NCATS NIH HHSUnited States/ ; U48 DP005018/DP/NCCDPHP CDC HHSUnited States/ ; K23 AG051681/AG/NIA NIH HHSUnited States/ ; UL1TR001086/Dartmouth Clinical and Translational Science Institute/ ; U48DP005018/ACL/ACL HHSUnited States/ ; CC/CDC HHSUnited States/ ; UL1TR002489/North Carolina Translational and Clinical Sciences Institute, University of North Carolina at Chapel Hill/ ; K23AG051681/AG/NIA NIH HHSUnited States/
-
Volume:8
-
Issue:10
-
Collection(s):
-
Main Document Checksum:urn:sha-512:1d4eddb592003f5eba9bfab230afee5293caaa9ea11c6828d01d1892791c5f5bed5e156d92e5cf99631ee2701e3a53e342bce34d3e51b41071f87013b94bd9e9
-
Download URL:
-
File Type:
Supporting Files
File Language:
English
ON THIS PAGE
CDC STACKS serves as an archival repository of CDC-published products including
scientific findings,
journal articles, guidelines, recommendations, or other public health information authored or
co-authored by CDC or funded partners.
As a repository, CDC STACKS retains documents in their original published format to ensure public access to scientific information.
As a repository, CDC STACKS retains documents in their original published format to ensure public access to scientific information.
You May Also Like
COLLECTION
CDC Public Access