U.S. flag An official website of the United States government.
Official websites use .gov

A .gov website belongs to an official government organization in the United States.

Secure .gov websites use HTTPS

A lock ( ) or https:// means you've safely connected to the .gov website. Share sensitive information only on official, secure websites.

i

Lead Brownfields and Birth Defects in North Carolina 2003–2015: A Cross-Sectional Case-Control Study

Supporting Files
File Language:
English


Details

  • Alternative Title:
    Birth Defects Res
  • Personal Author:
  • Description:
    Background

    Brownfields consist of abandoned and disused sites, spanning many former purposes. Brownfields represent a heterogenous yet ubiquitous exposure for many Americans, which may contain hazardous wastes and represent urban blight. Neonates and pregnant individuals are often sensitive to subtle environmental exposures. We evaluate if residential exposure to lead (Pb) brownfields is associated with birth defects.

    Methods

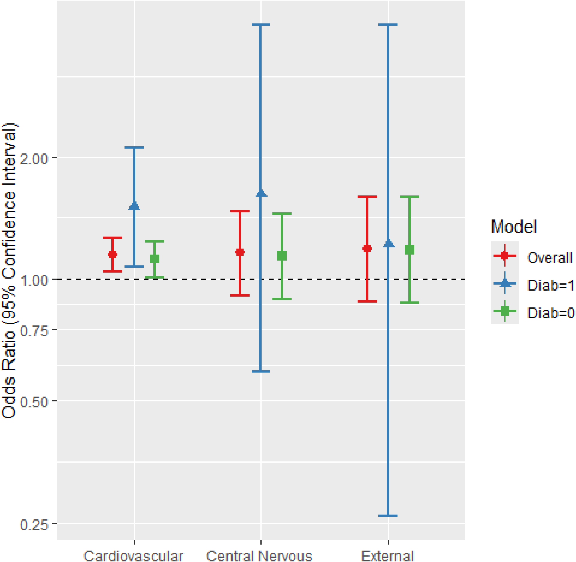
    Using North Carolina birth records from 2003–2015, we sampled 169,499 births within 10 kilometers (km) of a Pb brownfield with 3,255 cardiovascular, central nervous, or external defects identified. Exposure was classified by binary specification of residing within 3 kilometers (km) of a Pb brownfield. We utilized multivariable logistic regression models adjusted for demographic covariates available from birth records and 2010 Census to estimate odds ratios (OR) and 95% confidence intervals (CI). Effect measure modification was assessed by inclusion of interaction terms and stratification for the potential modifiers of race/ethnicity and diabetes status.

    Results

    We observed positive associations between cardiovascular birth defects and residential proximity to Pb brownfields, OR (95%CI): 1.15 (1.04, 1.26), with suggestive positive associations for central nervous 1.16 (0.91, 1.47) and external defects 1.19 (0.88, 1.59). We did observe evidence of effect measure modification via likelihood ratio tests (LRT) for race/ethnicity for central nervous and external defect groups (LRT p-values 0.08 and 0.02). We did observe modification by diabetes status for the cardiovascular group (LRT p-value 0.08).

    Conclusions

    Our results from this analysis indicate that residential proximity to Pb brownfields is associated with cardiovascular birth defects with suggestive associations for central nervous and external defects. In-depth analyses of individual defects and other contaminants or brownfield site functions may reveal additional novel associations.

  • Subjects:
  • Keywords:
  • Source:
    Birth Defects Res. 116(8):e2367
  • Pubmed ID:
    39136602
  • Pubmed Central ID:
    PMC11328954
  • Document Type:
  • Funding:
  • Volume:
    116
  • Issue:
    8
  • Collection(s):
  • Main Document Checksum:
    urn:sha-512:100904e54d3b75791450912bc62843358955d46584e41b9c8cf8ee6399790fd1c898faa6c09d8e2b8259ec277e7ad71f6a914a32c72ddd28f4062023d5029598
  • Download URL:
  • File Type:
    Filetype[PDF - 986.75 KB ]
File Language:
English
ON THIS PAGE

CDC STACKS serves as an archival repository of CDC-published products including scientific findings, journal articles, guidelines, recommendations, or other public health information authored or co-authored by CDC or funded partners.

As a repository, CDC STACKS retains documents in their original published format to ensure public access to scientific information.