Predictors of PrEP Retention and Attrition in an Urban Publicly Funded Safety-net Specialty Clinic
Supporting Files
-
8 2024
-
File Language:
English
Details
-
Alternative Title:AIDS Behav
-
Personal Author:
-
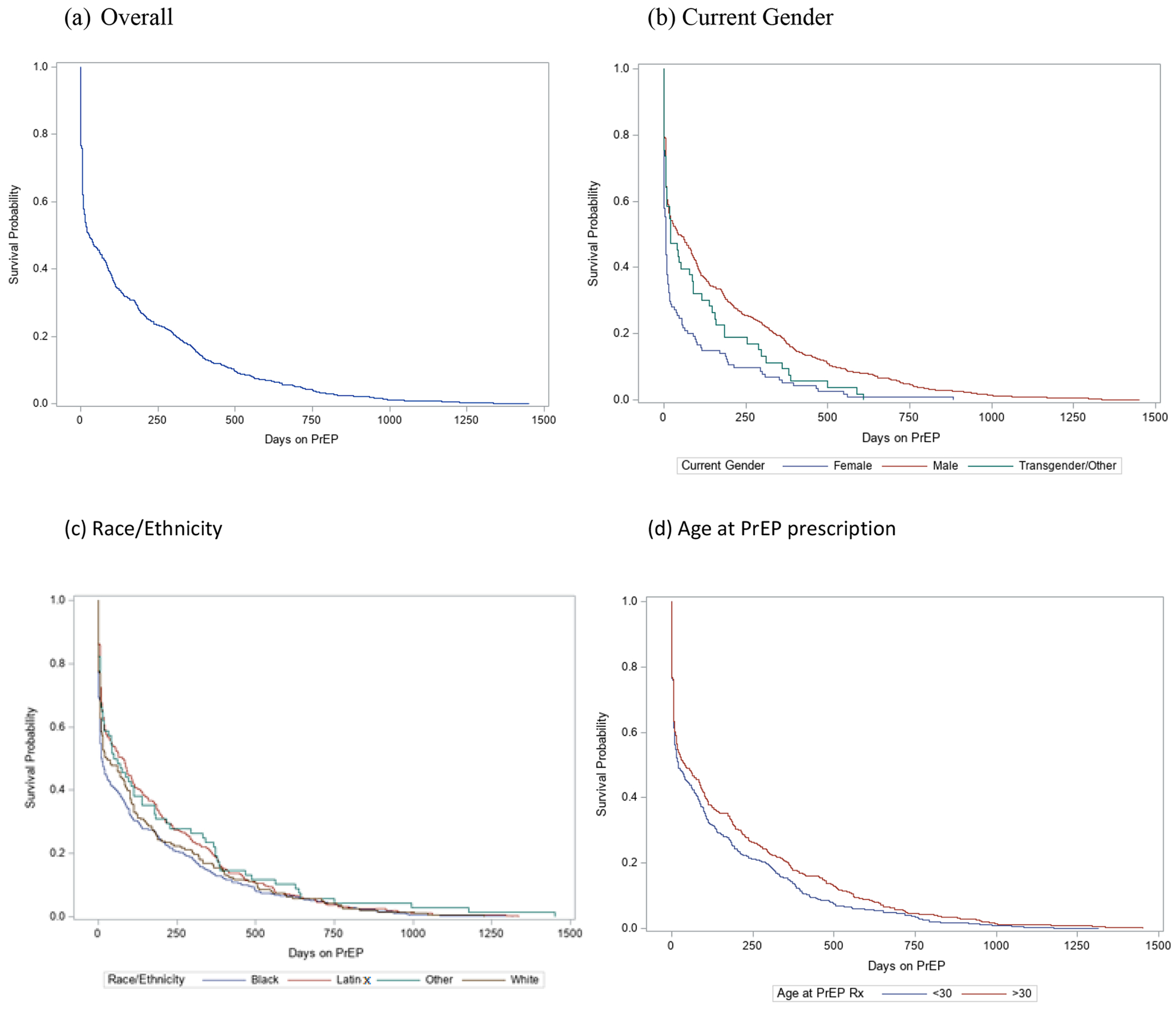
Description:Pre-exposure prophylaxis (PrEP) is an effective tool for human immunodeficiency virus (HIV) prevention. The purpose of this study is to identify correlates of PrEP retention using patient data from an urban, publicly funded safety-net clinic in Washington, DC. Cox proportional hazards regression, logistical regression, and survival curves were used to assess the association of age, gender, race/ethnicity, insurance, number of partners, and sexually transmitted infection (STI) diagnosis at PrEP initiation with time on PrEP. From August 2016-December 2020, 1,126 people were prescribed PrEP - patients were mostly Black (44.8%) or Latinx (30.4%) and identified as cisgender men (84.6%). Half had no insurance (49.1%), with the remaining patients reporting private (28.9%) or public (21.5%) insurance. Age at PrEP prescription ranged from 15 to 66 with 80% being 20 to 39 years. For the 87.7% (n = 987) of patients who discontinued PrEP, mean PrEP time was 158 days and median was 28 days. The highest rates of discontinuation were observed within the first month with 44.3% discontinuing by day 30, 52.3% by 3 months, and 73.2% by 1 year. Cisgender women, transgender persons, and those younger than 30 years were more likely to discontinue PrEP. Latinx and patients with less than 3 male partners in the last 90 days were less likely to discontinue PrEP. We demonstrated a high level of PrEP uptake among populations disproportionally affected by HIV. Future analyses are needed to examine ways of reducing barriers to PrEP initiation and improving PrEP adherence.
-
Subjects:
-
Keywords:
-
Source:AIDS Behav. 28(8):2598-2606
-
Pubmed ID:38801502
-
Pubmed Central ID:PMC11325486
-
Document Type:
-
Funding:
-
Volume:28
-
Issue:8
-
Collection(s):
-
Main Document Checksum:urn:sha-512:432063ef2534ef26422d0e40f920d0a71f066eef7a6123aef4f4f0e576ca2dce1976ecdc1083b46c89c28760db971c38ee2db0b08d035213d49c9cb4b4136dd1
-
Download URL:
-
File Type:
Supporting Files
File Language:
English
ON THIS PAGE
CDC STACKS serves as an archival repository of CDC-published products including
scientific findings,
journal articles, guidelines, recommendations, or other public health information authored or
co-authored by CDC or funded partners.
As a repository, CDC STACKS retains documents in their original published format to ensure public access to scientific information.
As a repository, CDC STACKS retains documents in their original published format to ensure public access to scientific information.
You May Also Like
COLLECTION
CDC Public Access