Mortality Risk After AIDS-Defining Opportunistic Illness Among HIV-Infected Persons—San Francisco, 1981–2012
Supporting Files
-
11 01 2015
-
File Language:
English
Details
-
Alternative Title:J Infect Dis
-
Personal Author:
-
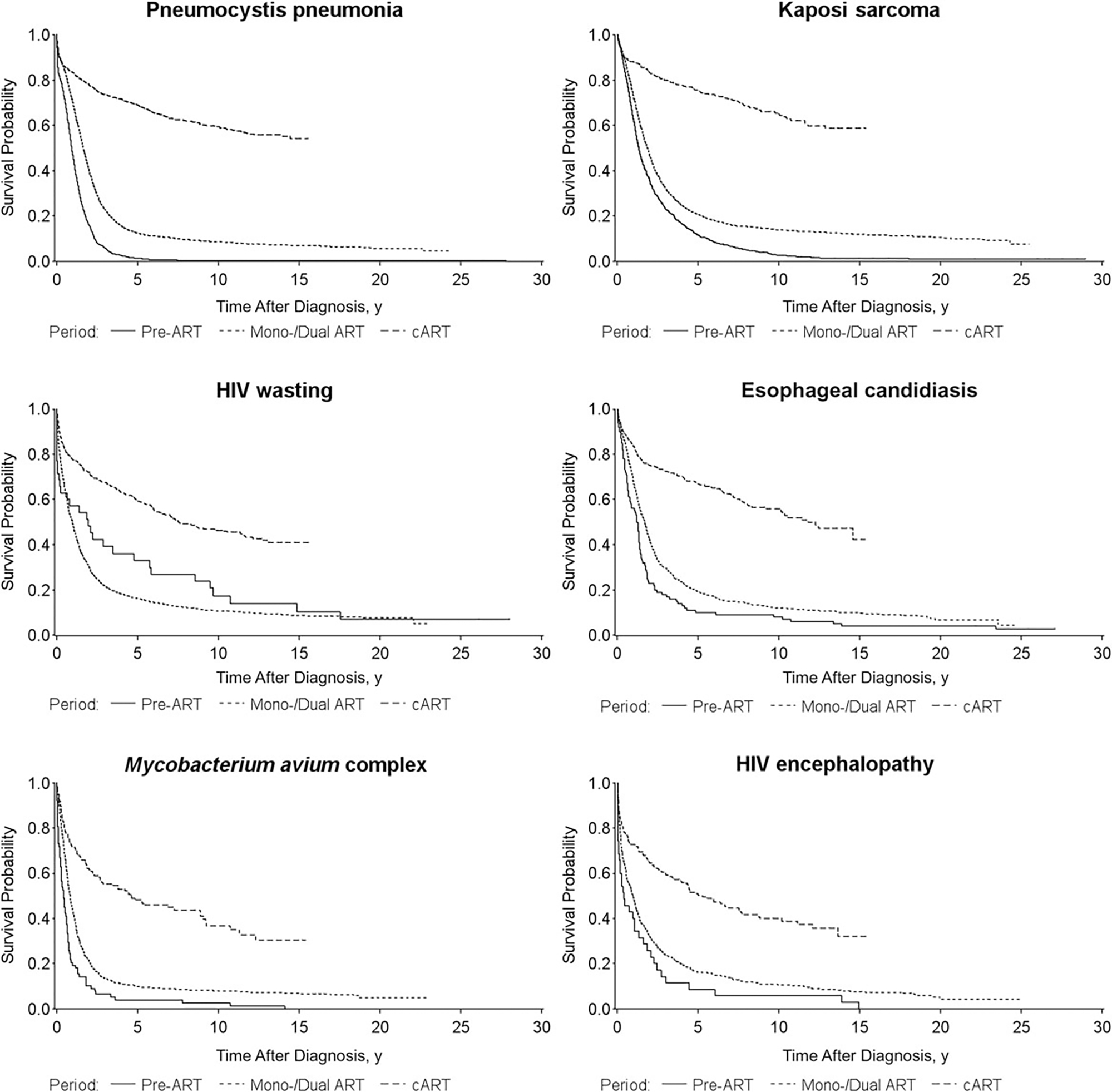
Description:Objective.
To examine whether improved human immunodeficiency virus (HIV) treatment was associated with better survival after diagnosis of AIDS-defining opportunistic illnesses (AIDS-OIs) and how survival differed by AIDS-OI.
Design.
We used HIV surveillance data to conduct a survival analysis.
Methods.
We estimated survival probabilities after first AIDS-OI diagnosis among adult patients with AIDS in San Francisco during 3 treatment eras: 1981–1986; 1987–1996; and 1997–2012. We used Cox proportional hazards models to determine adjusted mortality risk by AIDS-OI in the years 1997–2012.
Results.
Among 20 858 patients with AIDS, the most frequently diagnosed AIDS-OIs were Pneumocystis pneumonia (39.1%) and Kaposi sarcoma (20.1%). Overall 5-year survival probability increased from 7% in 1981–1986 to 65% in 1997–2012. In 1997–2012, after adjustment for known confounders and using Pneumocystis pneumonia as the referent category, mortality rates after first AIDS-OI were highest for brain lymphoma (hazard ratio [HR], 5.14; 95% confidence interval [CI], 2.98–8.87) and progressive multifocal leukoencephalopathy (HR, 4.22; 95% CI, 2.49–7.17).
Conclusions.
Survival after first AIDS-OI diagnosis has improved markedly since 1981. Some AIDS-OIs remain associated with substantially higher mortality risk than others, even after adjustment for known confounders. Better prevention and treatment strategies are still needed for AIDS-OIs occurring in the current HIV treatment era.
-
Subjects:
-
Keywords:
-
Source:J Infect Dis. 212(9):1366-1375
-
Pubmed ID:26044289
-
Pubmed Central ID:PMC11323282
-
Document Type:
-
Funding:
-
Volume:212
-
Issue:9
-
Collection(s):
-
Main Document Checksum:urn:sha-512:e8e4af9cdb89a019477233dd6995af5f69c231dde570862ec2b104b2908e2c0fe09c90bf8fe33da391ab2a0834ac13ee406b11e1e60f2b767f02148f91891775
-
Download URL:
-
File Type:
Supporting Files
File Language:
English
ON THIS PAGE
CDC STACKS serves as an archival repository of CDC-published products including
scientific findings,
journal articles, guidelines, recommendations, or other public health information authored or
co-authored by CDC or funded partners.
As a repository, CDC STACKS retains documents in their original published format to ensure public access to scientific information.
As a repository, CDC STACKS retains documents in their original published format to ensure public access to scientific information.
You May Also Like
COLLECTION
CDC Public Access