Performance of a Tic Screening Tool (MOVeIT) in Comparison to Expert Clinician Assessment in a Developmental-Behavioral Pediatrics Clinic Sample
Supporting Files
-
2024
File Language:
English
Details
-
Alternative Title:Evid Based Pract Child Adolesc Ment Health
-
Personal Author:Vermilion, Jennifer A. ; Bitsko, Rebecca H. ; Danielson, Melissa L. ; Bonifacio, Kristen P. ; Dean, Shannon L. ; Hyman, Susan L. ; Augustine, Erika F. ; Mink, Jonathan W. ; Morrison, Peter E. ; Vierhile, Amy E. ; Sulkes, Stephen B. ; van Wijngaarden, Edwin ; Adams, Heather R. ; Vermilion, Jennifer A. ; Bitsko, Rebecca H. ; Danielson, Melissa L. ; Bonifacio, Kristen P. ; Dean, Shannon L. ; Hyman, Susan L. ; Augustine, Erika F. ; Mink, Jonathan W. ; Morrison, Peter E. ; Vierhile, Amy E. ; Sulkes, Stephen B. ; van Wijngaarden, Edwin ; Adams, Heather R.
-
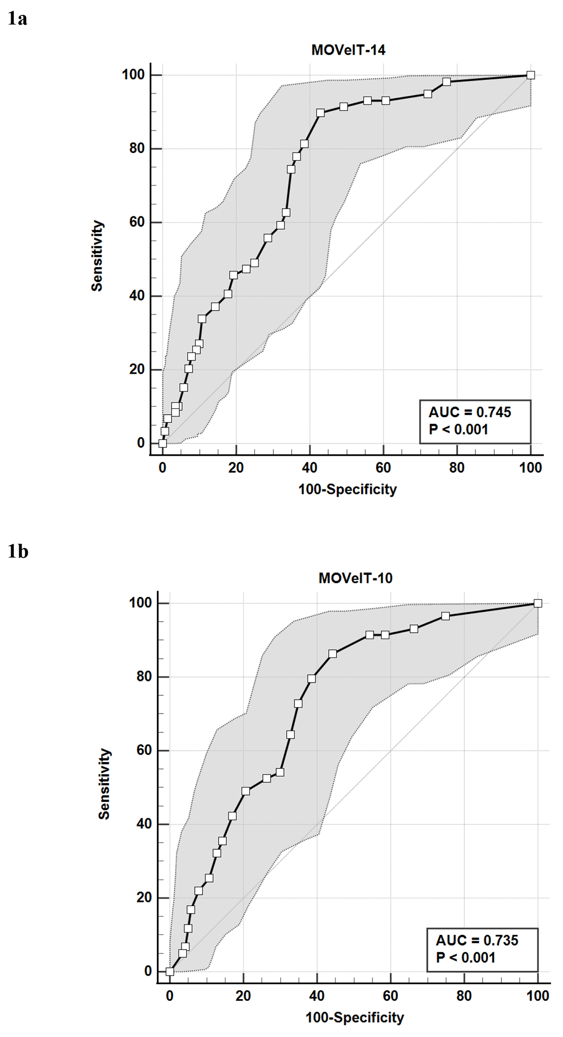
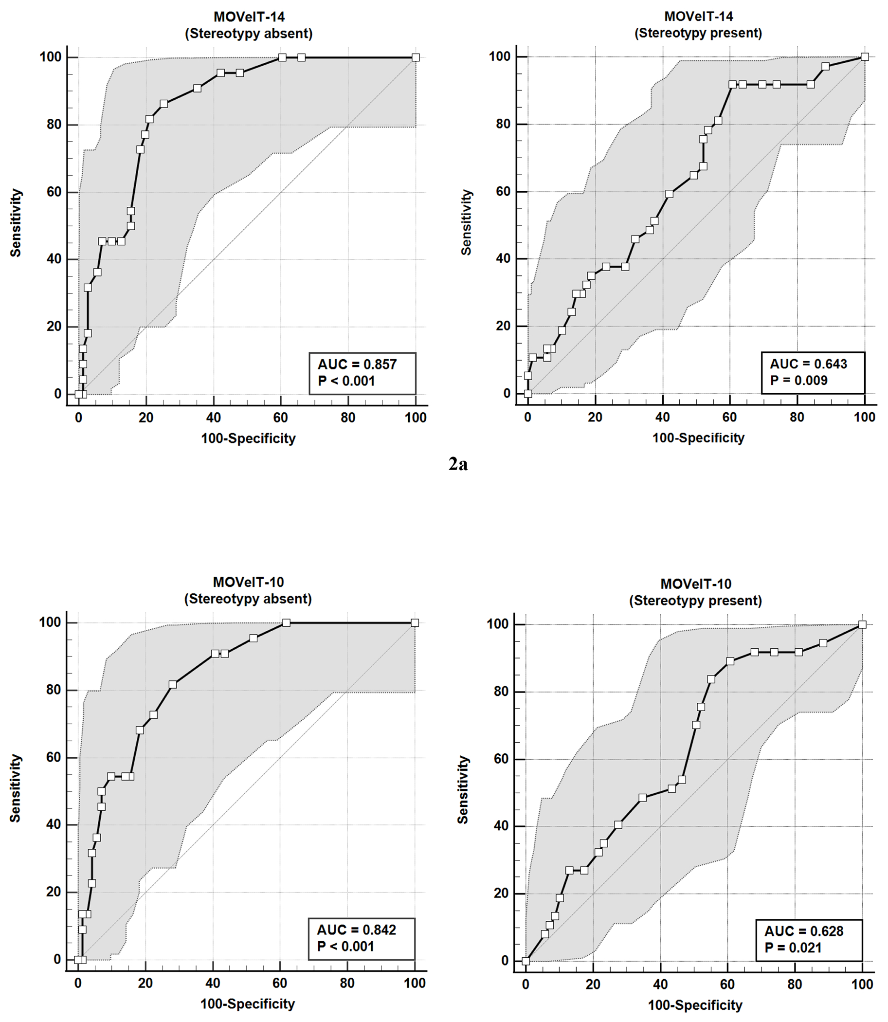
Description:Youth with intellectual and developmental disabilities typically have higher rates of tics and stereotypies compared to children with otherwise typical development. Differentiating between these two pediatric movement disorders can be challenging due to overlapping clinical features, but is relevant due to distinct treatment modalities. The current study evaluated sensitivity and specificity of a tic screening measure, the Motor or Vocal Inventory of Tics (MOVeIT) in a pediatric sample enriched for stereotypy and tics. Children (n=199, age 2-15 years old) receiving care in a developmental-behavioral pediatrics clinic underwent a gold-standard diagnostic assessment by a tic expert; these evaluations were compared to the MOVeIT. The MOVeIT demonstrated good sensitivity (89.8%) and relatively lower specificity (57.1%) compared to tic expert for detecting tics in the overall sample. Specificity of the MOVeIT to identify tics improved to 75% when excluding children with co-occurring stereotypy. For children with tics and co-occurring stereotypy, sensitivity remained high (91.9%) but specificity was low (39.1%). The area under the curve (AUC) value to detect tics on the MOVeIT compared to the tic expert gold standard was significantly higher for children without stereotypy (AUC=85.7%) than those with stereotypy (AUC=64.3%, p <0.01). Overall, the ability to detect tics was better in those without co-occurring stereotypy symptoms. Further work is needed to establish the utility of the MOVeIT in populations where there is a high likelihood of co-occurring tics and stereotypy and in general population settings. Accurate distinction between tics and stereotypy will guide choices for intervention and anticipatory guidance for families.
-
Keywords:
-
Source:Evid Based Pract Child Adolesc Ment Health. 9(2):245-261 ; Evid Based Pract Child Adolesc Ment Health. 9(2):245-261
-
Pubmed ID:39109230
-
Pubmed Central ID:PMC11299864
-
Document Type:
-
Funding:
-
Volume:9
-
Issue:2
-
Collection(s):
-
Main Document Checksum:urn:sha-512:e866e56f1697530613fdce93dc01fe16dfb6f03cf62751ef93c4ea3a402076d3855aaecbf3a1d361ee5be9155f9036cda1b5be699ccbadb8ddd4c398f1bafcd2
-
Download URL:
-
File Type:
Supporting Files
File Language:
English
ON THIS PAGE
CDC STACKS serves as an archival repository of CDC-published products including
scientific findings,
journal articles, guidelines, recommendations, or other public health information authored or
co-authored by CDC or funded partners.
As a repository, CDC STACKS retains documents in their original published format to ensure public access to scientific information.
As a repository, CDC STACKS retains documents in their original published format to ensure public access to scientific information.
You May Also Like
COLLECTION
CDC Public Access