Evaluation of an adjuvanted hydrogel-based pDNA nanoparticulate vaccine for rabies prevention and immunocontraception
Supporting Files
-
10 2019
-
File Language:
English
Details
-
Alternative Title:Nanomedicine
-
Personal Author:
-
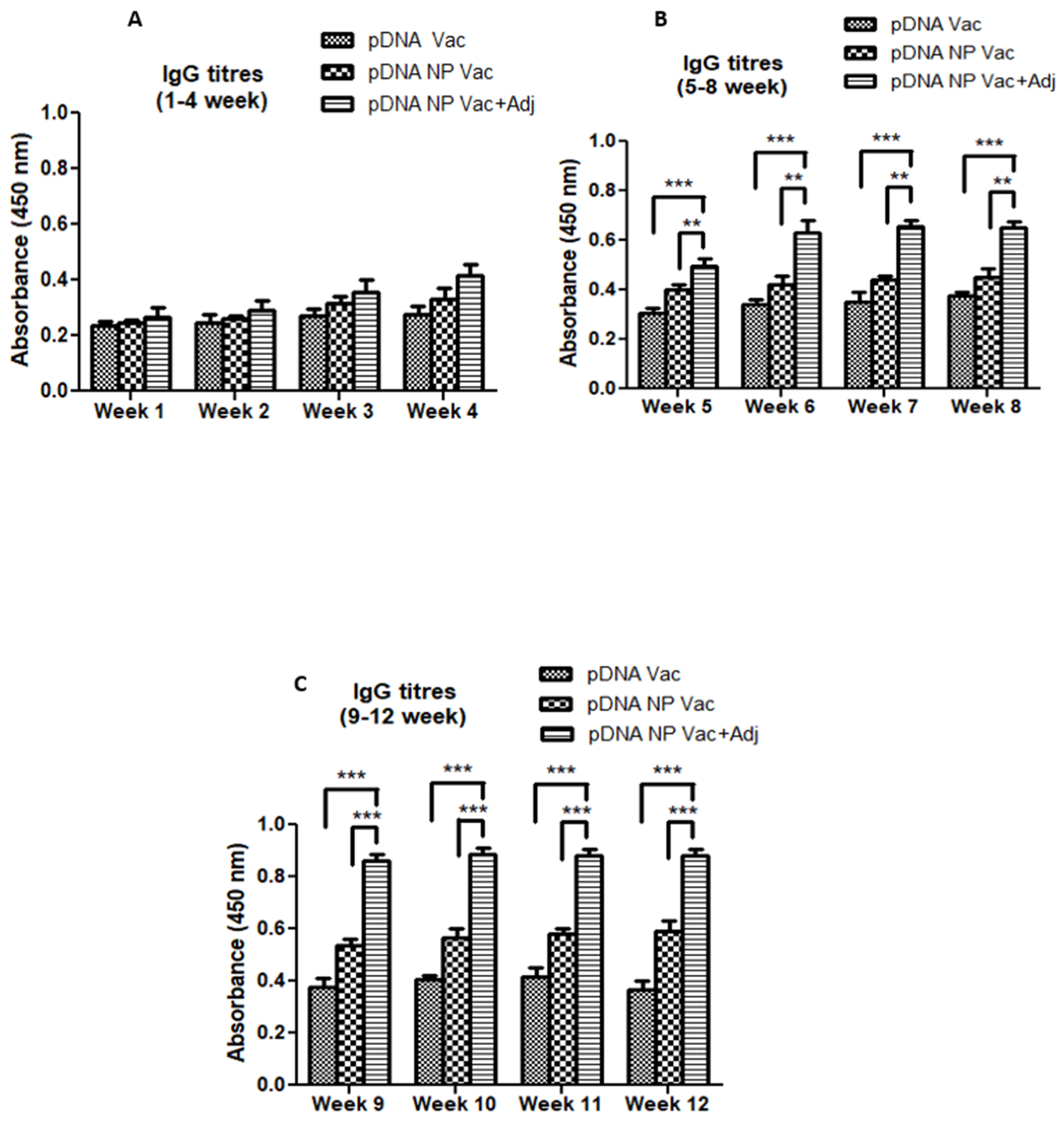
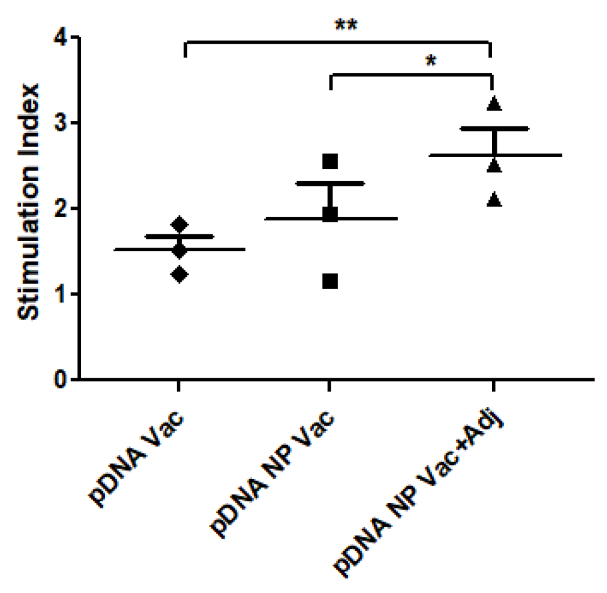
Description:Immunocontraceptive vaccination is becoming an acceptable strategy in managing animal populations. Mass vaccination of dogs is the most cost-effective and efficient method to control rabies, and combination of rabies vaccination and animal population control will be an added advantage. In this study, we developed an adjuvanted hydrogel-based pDNA nanoparticulate vaccine for rabies protection and immunocontraception. In vivo, we observed an immune response skewed toward a Th2 type, in contrast to the Th1 type in our previous pDNA study. The observation was verified by the IgG2a/IgG1 ratio (<1), and cytokine expression profile of IL-4 and IFN-γ. The humoral immune response is key for rabies protection and a GnRH antibody-based immunocontraception. In mice, anti-GnRH antibody titers were detected 4 weeks after immunization and lasted for 12 weeks, post animal experiment was terminated. The adjuvanted pDNA nanoparticulate vaccine shows promise for future studies evaluating protection from rabies challenge and prevention of animal breeding.
-
Subjects:
-
Keywords:
-
Source:Nanomedicine. 21:102049
-
Pubmed ID:31279062
-
Pubmed Central ID:PMC11287484
-
Document Type:
-
Funding:
-
Volume:21
-
Collection(s):
-
Main Document Checksum:urn:sha-512:1a6703436a9d34380ed45e099f0d35d24d8d9b0163f6524e42b5f04e0e95ac28ed0f31ae94559c526e9a88ab480bc98eac64849d07325f5df2cb36ffb19b4d22
-
Download URL:
-
File Type:
Supporting Files
File Language:
English
ON THIS PAGE
CDC STACKS serves as an archival repository of CDC-published products including
scientific findings,
journal articles, guidelines, recommendations, or other public health information authored or
co-authored by CDC or funded partners.
As a repository, CDC STACKS retains documents in their original published format to ensure public access to scientific information.
As a repository, CDC STACKS retains documents in their original published format to ensure public access to scientific information.
You May Also Like
COLLECTION
CDC Public Access