U.S. flag An official website of the United States government.
Official websites use .gov

A .gov website belongs to an official government organization in the United States.

Secure .gov websites use HTTPS

A lock ( ) or https:// means you've safely connected to the .gov website. Share sensitive information only on official, secure websites.

i

Special Report from the CDC: Suicide rates, sodium nitrite-related suicides, and online content, United States☆

Supporting Files
File Language:
English


Details

  • Alternative Title:
    J Safety Res
  • Personal Author:
  • Description:
    Background:

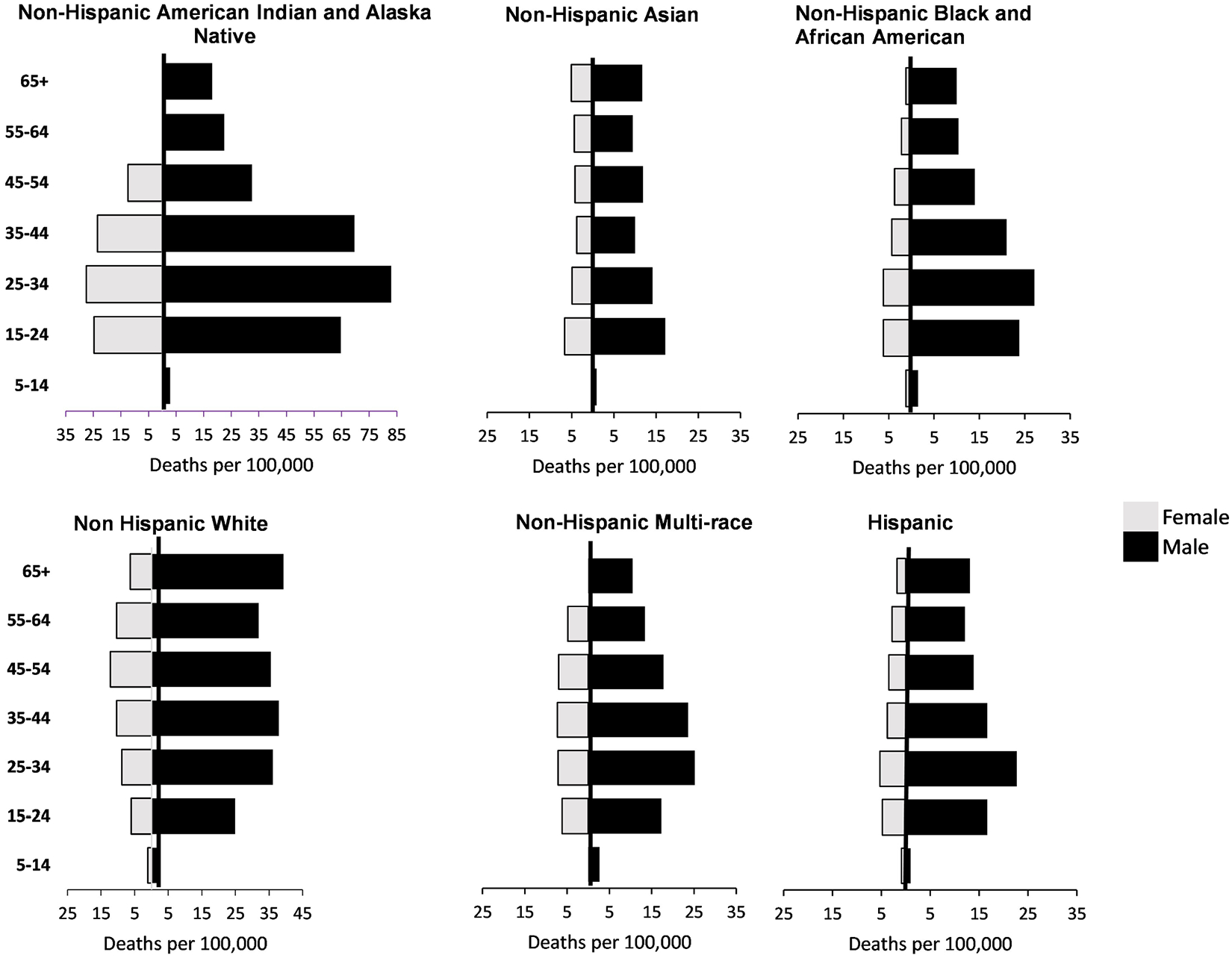
    In 2022, suicide ranked as the 11th leading cause of death in the United States with 49,513 deaths. Provisional mortality data from 2022 indicate a 2.8% increase in the number of suicides compared to 2021. This paper examines overall suicide trends, sodium nitrite ingestion as an emerging suicide method, and the role that online forums play in sharing information about suicide methods (including sodium nitrite ingestion).

    Methods:

    Suicides were identified from CDC’s National Vital Statistics System (2018-July 2023 provisional) multiple cause-of-death mortality files using International Classification of Diseases (ICD), Tenth Revision underlying cause-of-death codes U03, X60–X84, and Y87.0 and T code T50.6 (antidotes and chelating agents). Google search popularity metrics were captured from January 2019 to January 2023. Case reports of sodium nitrite related suicide and suicide attempts (through February 2024) were identified in the medical and forensic literature.

    Results:

    At least 768 suicides involving antidotes and chelating agents (including sodium nitrite) occurred between 2018 and July 2023, set in the context of 268,972 total suicides during that period. Overall, suicides involving antidotes and chelating agents (including sodium nitrite) represent <1% of all suicides, however, numbers are rising.

    Conclusions:

    Suicide methods are known to change over time. These changes can be influenced by, among other factors, online forums and means accessibility, such as internet purchase availability. CDC remains committed to prevention through comprehensive public health strategies that protect individuals, families, and communities.

    Practical Applications:

    States and community partners might consider leveraging physicians, emergency responders, and other appropriate crisis response groups to disseminate information on sodium nitrite self-poisoning and its antidote, methylene blue. Efforts should be part of a comprehensive public health approach to suicide prevention.

  • Subjects:
  • Source:
    J Safety Res. 89:361-368
  • Pubmed ID:
    38858061
  • Pubmed Central ID:
    PMC11262023
  • Document Type:
  • Funding:
  • Volume:
    89
  • Collection(s):
  • Main Document Checksum:
    urn:sha-512:3540eec013cab1163f5a9985f6a0ee61e3717beab0fba0eb53d5a258385df567b9924a07b0deaaca227571119913a1dffe5fe03f8b023b5e65112ebe7e362cbf
  • Download URL:
  • File Type:
    Filetype[PDF - 916.00 KB ]
File Language:
English
ON THIS PAGE

CDC STACKS serves as an archival repository of CDC-published products including scientific findings, journal articles, guidelines, recommendations, or other public health information authored or co-authored by CDC or funded partners.

As a repository, CDC STACKS retains documents in their original published format to ensure public access to scientific information.