Maternal physical activity, sitting, and risk of non-cardiac birth defects
Supporting Files
-
1 2024
-
File Language:
English
Details
-
Alternative Title:Pediatr Res
-
Personal Author:
-
Corporate Authors:
-
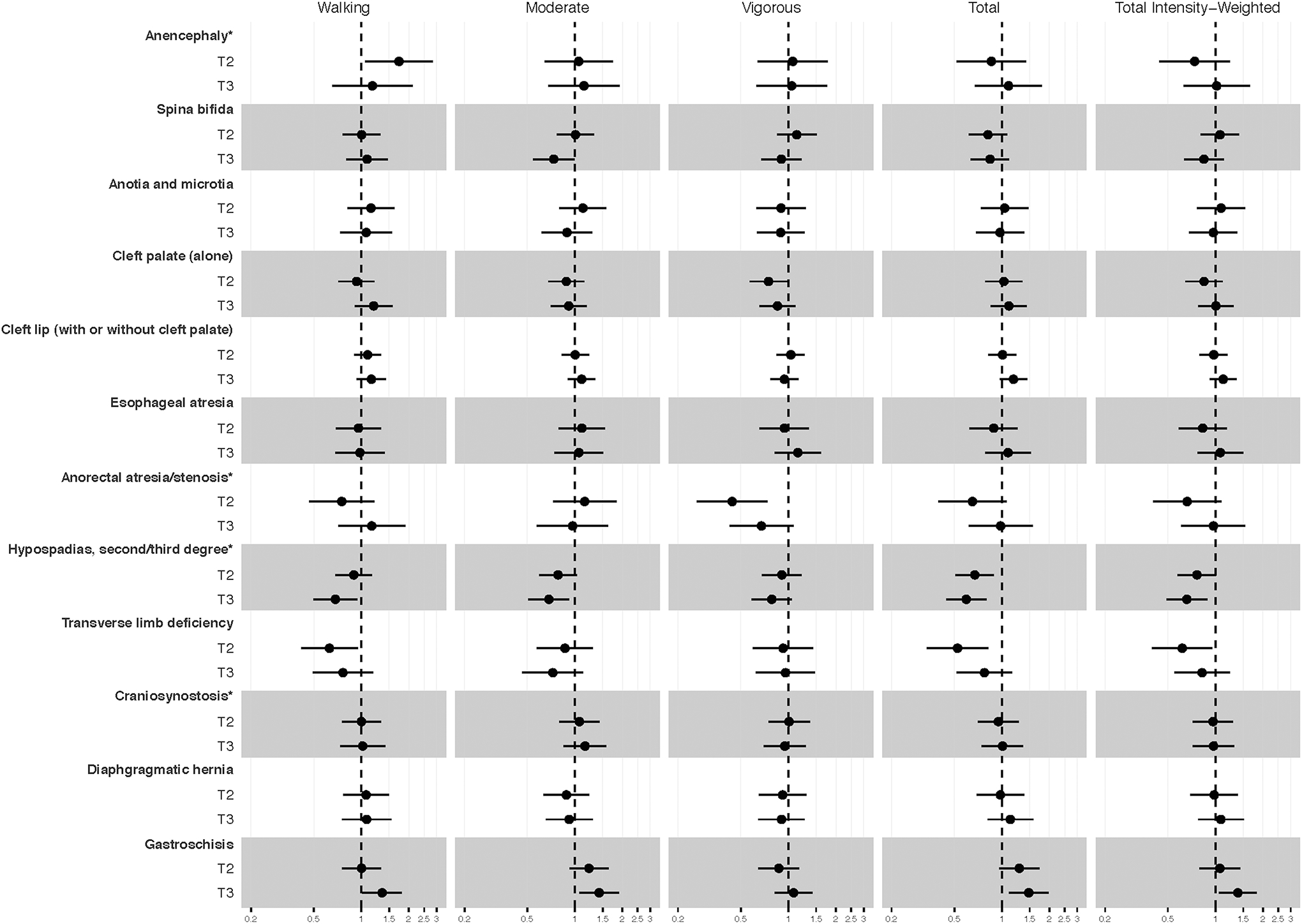
Description:Background:
The relationship between maternal physical activity (PA)/sitting and birth defects is largely unexplored. We examined whether pre-pregnancy PA/sitting were associated with having a pregnancy affected by a birth defect.
Methods:
We used data from two United States population-based case-control studies: 2008–2011 deliveries from the National Birth Defects Prevention Study (NBDPS; 9 states) and 2014–2018 deliveries from the Birth Defects Study To Evaluate Pregnancy exposureS (BD-STEPS; 7 states). Cases with one of 12 non-cardiac birth defects (n=3798) were identified through population-based registries. Controls (n=2682) were live-born infants without major birth defects randomly sampled using vital/hospital records. Mothers self-reported pre-pregnancy PA/sitting. Unconditional logistic regression models estimated associations between PA/sitting categories and the 12 birth defects.
Results:
Mothers engaging in pre-pregnancy PA was associated with a reduced odds of five (spina bifida, cleft palate, anorectal atresia, hypospadias, transverse limb deficiency) and a higher odds of two (anencephaly, gastroschisis) birth defects. Mothers spending less time sitting in pre-pregnancy was associated with a reduced odds of two (anorectal atresia, hypospadias) and a higher odds of one (cleft lip with or without cleft palate) birth defect.
Conclusion:
Reasonable next steps include replication of these findings, improved exposure assessment, and elucidation of biologic mechanisms.
-
Subjects:
-
Source:Pediatr Res. 95(1):334-341
-
Pubmed ID:37543708
-
Pubmed Central ID:PMC10875984
-
Document Type:
-
Funding:
-
Volume:95
-
Issue:1
-
Collection(s):
-
Main Document Checksum:urn:sha-512:44d5948ac605ae71443d22f3628c61b7f2f57351e38301a9e8c511a1a946dfffc8cd03515d78a5aa06dd91456e68b2702b5f7af1080f45a932747305de76e8e8
-
Download URL:
-
File Type:
Supporting Files
File Language:
English
ON THIS PAGE
CDC STACKS serves as an archival repository of CDC-published products including
scientific findings,
journal articles, guidelines, recommendations, or other public health information authored or
co-authored by CDC or funded partners.
As a repository, CDC STACKS retains documents in their original published format to ensure public access to scientific information.
As a repository, CDC STACKS retains documents in their original published format to ensure public access to scientific information.
You May Also Like
COLLECTION
CDC Public Access