U.S. flag An official website of the United States government.
Official websites use .gov

A .gov website belongs to an official government organization in the United States.

Secure .gov websites use HTTPS

A lock ( ) or https:// means you've safely connected to the .gov website. Share sensitive information only on official, secure websites.

i

Employment Exit and Entry among U.S. Adults with and without Arthritis during the Great Recession, a Longitudinal Study: 2007-2009, NHIS/MEPS

Supporting Files
File Language:
English


Details

  • Alternative Title:
    Work
  • Personal Author:
  • Description:
    BACKGROUND:

    Negative employment consequences of arthritis are known but not fully understood. Examining transitions in and out of work can provide valuable information.

    OBJECTIVE:

    To examine associations of arthritis with employment during the Great Recession and predictors of employment transitions.

    METHODS:

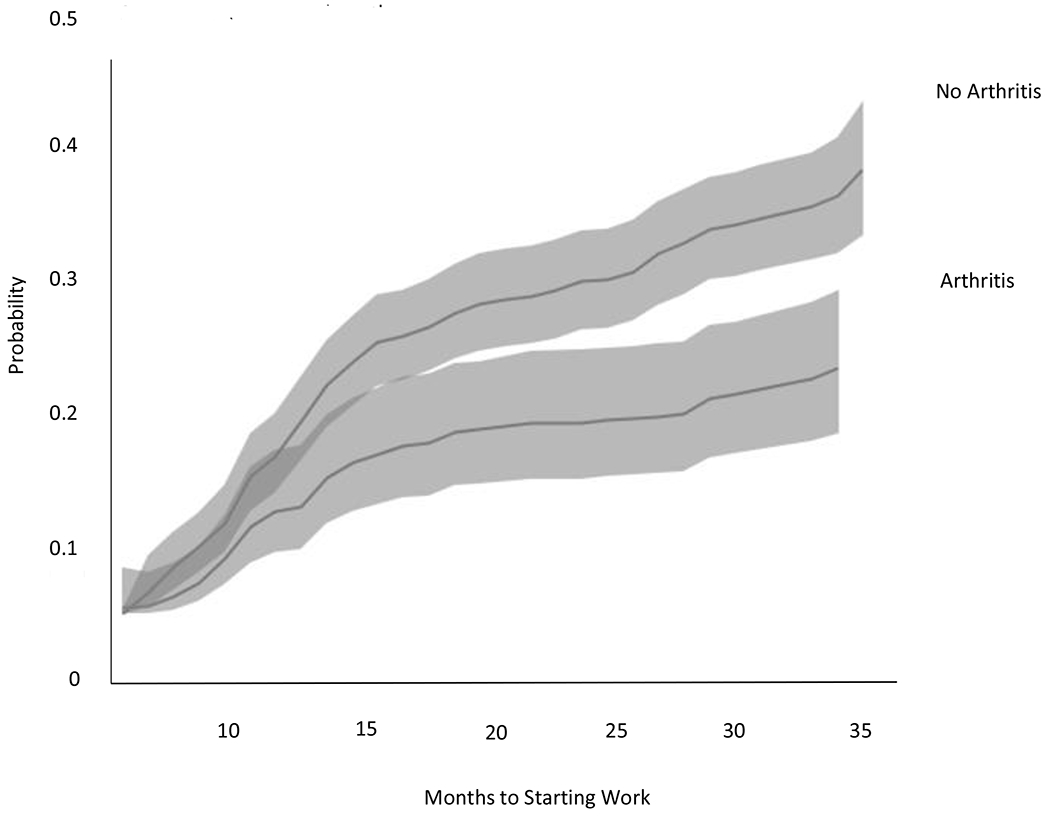
    Data were for 3,277 adults ages 30-62 years with and without arthritis from the 2007 National Health Interview Survey followed in the Medical Expenditure Panel Survey 2008-2009. Employment (working vs. not working) was ascertained at baseline and five follow-ups. We estimated Kaplan Meier survival curves with 95% confidence intervals (CI) separately for time to stopping work (working at baseline) and starting work (not working at baseline) using Cox proportional hazards regression models with hazard ratios (HR).

    RESULTS:

    Arthritis was significantly associated with greater risk of stopping work (HR = 1.7, 95% CI = 1.3-2.2; adjusted HR = 1.5, 95% CI = 1.1-2.0) and significantly associated with 40% lower chance of starting work (HR = 0.6, 95% CI = 0.4-0.8); which reversed on adjustment (HR = 1.5, 95% CI = 1.0-2.2). Employment predictors were mixed by outcome.

    CONCLUSIONS:

    During the Great Recession, adults with arthritis stopped work at higher rates and started work at lower rates than those without arthritis.

  • Subjects:
  • Keywords:
  • Source:
    Work. 60(2):303-318
  • Pubmed ID:
    29865104
  • Pubmed Central ID:
    PMC11131973
  • Document Type:
  • Funding:
  • Volume:
    60
  • Issue:
    2
  • Collection(s):
  • Main Document Checksum:
    urn:sha256:fd22c73c4f24bc98e2c3544c2ecdea5da7d43fd3b61b3da41157fef4b956a4d3
  • Download URL:
  • File Type:
    Filetype[PDF - 670.33 KB ]
File Language:
English
ON THIS PAGE

CDC STACKS serves as an archival repository of CDC-published products including scientific findings, journal articles, guidelines, recommendations, or other public health information authored or co-authored by CDC or funded partners.

As a repository, CDC STACKS retains documents in their original published format to ensure public access to scientific information.