Biomarkers of Organophosphate and Polybrominated Diphenyl Ether (PBDE) Flame Retardants of American Workers and Associations with Inhalation and Dermal Exposures
Supporting Files
-
5 14 2024
-
File Language:
English
Details
-
Alternative Title:Environ Sci Technol
-
Personal Author:
-
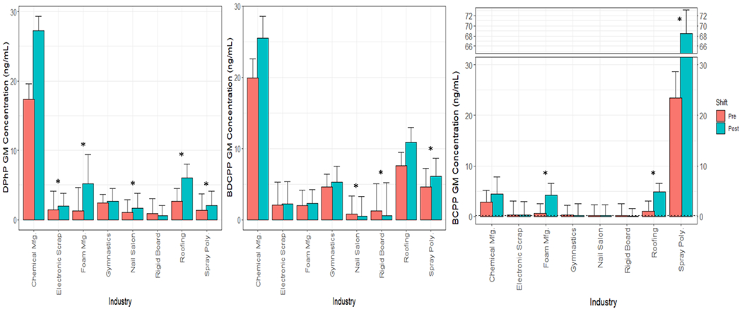
Description:This study evaluated workers' exposures to flame retardants, including polybrominated diphenyl ethers (PBDEs), organophosphate esters (OPEs), and other brominated flame retardants (BFRs), in various industries. The study aimed to characterize OPE metabolite urinary concentrations and PBDE serum concentrations among workers from different industries, compare these concentrations between industries and the general population, and evaluate the likely route of exposure (dermal or inhalation). The results showed that workers from chemical manufacturing had significantly higher (| <0.05) urinary concentrations of OPE metabolites compared to other industries. Spray polyurethane foam workers had significantly higher (| <0.05) urinary concentrations of bis(1-chloro-2-propyl) phosphate (BCPP) compared to other industries. Electronic scrap workers had higher serum concentrations of certain PBDE congeners compared to the general population. Correlations were observed between hand wipe samples and air samples containing specific flame-retardant parent chemicals and urinary metabolite concentrations for some industries, suggesting both dermal absorption and inhalation as primary routes of exposure for OPEs. Overall, this study provides insights into occupational exposure to flame retardants in different industries and highlights the need for further research on emerging flame retardants and exposure reduction interventions.
-
Subjects:
-
Source:Environ Sci Technol. 58(19):8417-8431
-
Pubmed ID:38701378
-
Pubmed Central ID:PMC11093711
-
Document Type:
-
Funding:
-
Place as Subject:
-
Volume:58
-
Issue:19
-
Collection(s):
-
Main Document Checksum:urn:sha256:1b7ed62a242aee7e2c53513dcaa7bf3f2fd7b2969bdbb7b55b921885ebfa4131
-
Download URL:
-
File Type:
Supporting Files
File Language:
English
ON THIS PAGE
CDC STACKS serves as an archival repository of CDC-published products including
scientific findings,
journal articles, guidelines, recommendations, or other public health information authored or
co-authored by CDC or funded partners.
As a repository, CDC STACKS retains documents in their original published format to ensure public access to scientific information.
As a repository, CDC STACKS retains documents in their original published format to ensure public access to scientific information.
You May Also Like
COLLECTION
CDC Public Access