Neighborhood Disadvantage and Risk of Heart Failure: The Reasons for Geographic and Racial Differences in Stroke (REGARDS) Study
Supporting Files
-
3 2024
-
File Language:
English
Details
-
Alternative Title:Circ Cardiovasc Qual Outcomes
-
Personal Author:
-
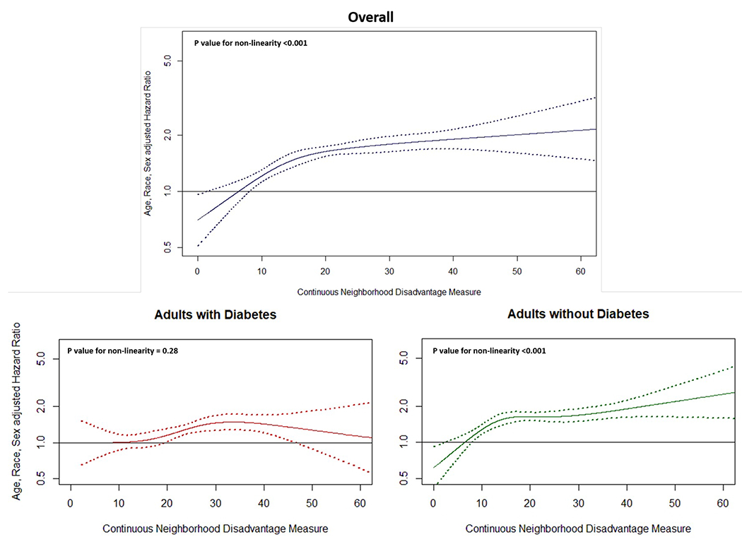
Description:Background:
Heart failure (HF) affects >6 million US adults, with recent increases in HF hospitalizations. We aimed to investigate the association between neighborhood disadvantage and incident HF events and potential differences by diabetes status.
Methods:
We included 23,645 participants from the Reasons for Geographic and Racial Differences in Stroke (REGARDS) Study, a prospective cohort of Black and White adults age ≥45 years living in the continental US. Neighborhood disadvantage was assessed using a z-score of 6 census-tract variables (2000 US Census) and categorized as quartiles. Incident HF hospitalizations or HF related deaths through 2017 were adjudicated. Multivariable adjusted Cox regression was used to examine the association between neighborhood disadvantage and incident HF. Heterogeneity by diabetes was assessed using an interaction term.
Results:
The mean age was 64.4 years, 39.5% were Black adults, 54.9% females, and 18.8% had diabetes. During a median follow-up of 10.7 years, there were 1125 incident HF events with an incidence rate of 3.3 (quartile 1), 4.7 (quartile 2), 5.2 (quartile 3), and 6.0 (quartile 4) per 1000 person-years. Compared to adults living in the most advantaged neighborhoods (quartile 1), those living in neighborhoods in quartiles 2, 3 and 4 (most disadvantaged) had 1.30 (95%CI=1.06-1.60), 1.36 (95%CI=1.11-1.66) and 1.45 (95%CI=1.18-1.79) times greater hazard of incident HF even after accounting for known confounders. This association did not significantly differ by diabetes status (interaction p=0.59). For adults with diabetes, the adjusted incident HF hazards comparing those in quartile 4 vs quartile 1 was 1.34 (95%CI=0.92-1.96) and it was 1.50 (95%CI=1.16-1.94) for adult without diabetes.
Conclusion:
In this large contemporaneous prospective cohort, neighborhood disadvantage was associated with increased risk of incident HF events. This increase in HF risk did not differ by diabetes status. Addressing social, economic and structural factors at the neighborhood level may impact HF prevention.
-
Subjects:
-
Keywords:
-
Source:Circ Cardiovasc Qual Outcomes. 17(3):e009867
-
Pubmed ID:38328917
-
Pubmed Central ID:PMC10950536
-
Document Type:
-
Funding:
-
Volume:17
-
Issue:3
-
Collection(s):
-
Main Document Checksum:urn:sha-512:6316320da46e9ee58fe316bea4105d2cfe3b2d3a397470d4e3b6d5045dc53a2d70997efcd3643616b83247bb44ce38426cdf0d691e56340f5f6e846a83c36549
-
Download URL:
-
File Type:
Supporting Files
File Language:
English
ON THIS PAGE
CDC STACKS serves as an archival repository of CDC-published products including
scientific findings,
journal articles, guidelines, recommendations, or other public health information authored or
co-authored by CDC or funded partners.
As a repository, CDC STACKS retains documents in their original published format to ensure public access to scientific information.
As a repository, CDC STACKS retains documents in their original published format to ensure public access to scientific information.
You May Also Like
COLLECTION
CDC Public Access