U.S. flag An official website of the United States government.
Official websites use .gov

A .gov website belongs to an official government organization in the United States.

Secure .gov websites use HTTPS

A lock ( ) or https:// means you've safely connected to the .gov website. Share sensitive information only on official, secure websites.

i

Cross-sectional and prospective associations of early childhood circulating metals with early and mid-childhood cognition in the Project Viva cohort

Supporting Files
File Language:
English


Details

  • Alternative Title:
    Environ Res
  • Personal Author:
  • Description:
    Background:

    Relatively little is known about the immediate and prospective neurodevelopmental impacts of joint exposure to multiple metals (i.e., metal mixtures) in early childhood.

    Objectives:

    To estimate associations of early childhood (~3 years of age) blood metal concentrations with cognitive test scores at early and mid-childhood (~8 years of age).

    Methods:

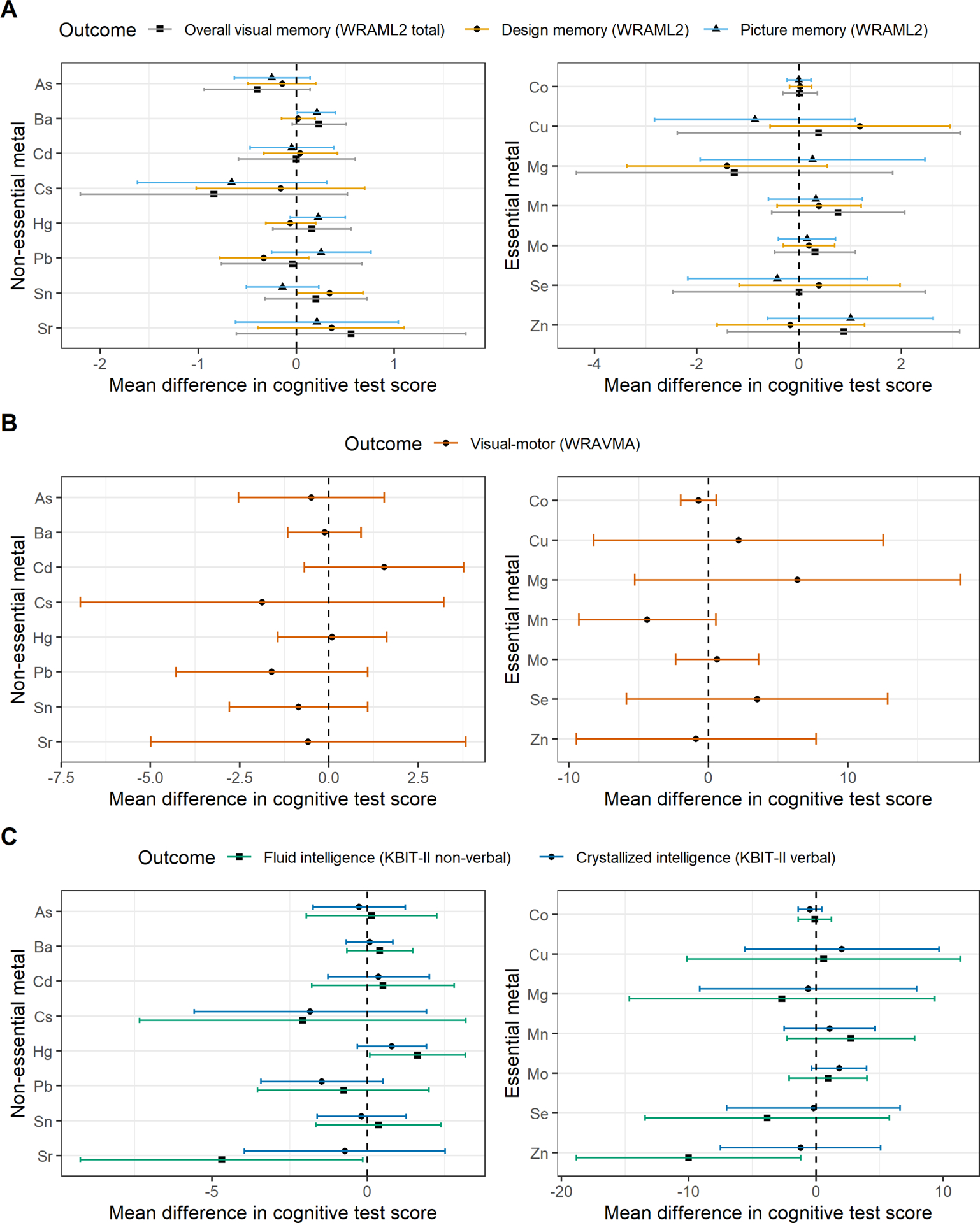
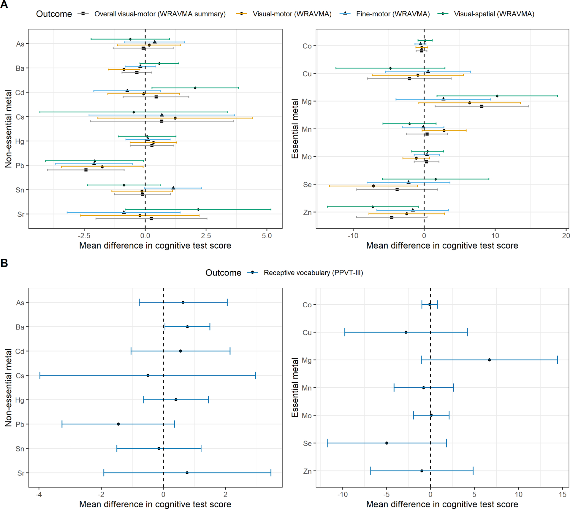
    We studied children from the Project Viva cohort. We measured erythrocyte concentrations of seven essential (Co, Cu, Mg, Mn, Mo, Se, and Zn) and eight non-essential metals (As, Ba, Cd, Cs, Hg, Pb, Sn, and Sr) in early childhood blood samples. Trained research assistants administered cognitive tests assessing vocabulary, visual-motor ability, memory, and general intelligence (standard deviations: ~10 points), in early and mid-childhood. We employed multivariable linear regression to examine associations of individual metals with test scores adjusting for confounders, other concurrently measured metals, and first-trimester maternal blood metals. We also estimated joint associations and explored interaction between metals in mixture analyses.

    Results:

    We analyzed 349 children (median whole blood Pb ~1 μg/dL). In cross-sectional analyses, each doubling of Pb was associated with lower visual-motor function (mean difference: −2.43 points, 95% confidence interval (CI): −4.01, −0.86) and receptive vocabulary, i.e., words understood (−1.45 points, 95% CI: −3.26, 0.36). Associations of Pb with mid-childhood cognition were weaker and less precise by comparison. Mg was positively associated with cognition in cross-sectional but not prospective analyses, and cross-sectional associations were attenuated in a sensitivity analysis removing adjustment for concurrent metals. We did not observe joint associations nor interactions.

    Discussion:

    In this cohort with low blood Pb levels, increased blood Pb was robustly associated with lower cognitive ability in cross-sectional analyses, even after adjustment for prenatal Pb exposure, and regardless of adjustment for metal co-exposures. However, associations with mid-childhood cognition were attenuated and imprecise, suggesting some buffering of Pb neurotoxicity in early life.

  • Subjects:
  • Source:
    Environ Res. 246:118068
  • Pubmed ID:
    38157961
  • Pubmed Central ID:
    PMC10947878
  • Document Type:
  • Funding:
  • Volume:
    246
  • Collection(s):
  • Main Document Checksum:
    urn:sha-512:d9820f4ff9d7cd105b2ed36f4cf6be3bf73dde8e6fba62971345147e261285712b1a56d8d3c44b8022ecbb85ad1131894b6b54aadce7171350a82d42d2b44bea
  • Download URL:
  • File Type:
    Filetype[PDF - 1.16 MB ]
File Language:
English
ON THIS PAGE

CDC STACKS serves as an archival repository of CDC-published products including scientific findings, journal articles, guidelines, recommendations, or other public health information authored or co-authored by CDC or funded partners.

As a repository, CDC STACKS retains documents in their original published format to ensure public access to scientific information.