U.S. flag An official website of the United States government.
Official websites use .gov

A .gov website belongs to an official government organization in the United States.

Secure .gov websites use HTTPS

A lock ( ) or https:// means you've safely connected to the .gov website. Share sensitive information only on official, secure websites.

i

Household Food Security Status and Allostatic Load Among US Adults: National Health and Nutrition Examination Survey 2015–2020

Supporting Files
File Language:
English


Details

  • Alternative Title:
    J Nutr
  • Personal Author:
  • Description:
    Background:

    Household food insecurity has been linked to adverse health outcomes, but pathways driving these associations are not well understood. The stress experienced by those in food insecure households and having to prioritize between food and other essential needs could lead to physiological dysregulations (i.e., allostatic load [AL]) and, as a result, adversely impact their health.

    Objective:

    To assess the association between household food security status and AL and differences by gender, race and ethnicity, and Supplemental Nutrition Assistance Program (SNAP) participation.

    Methods:

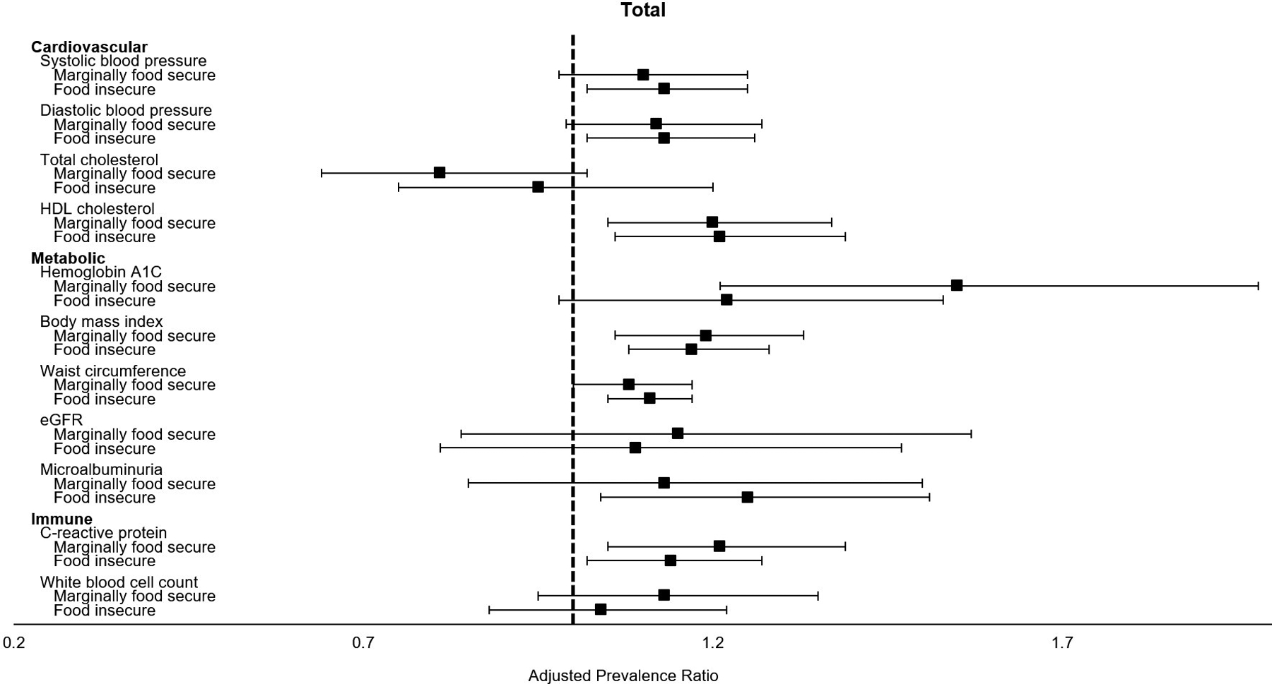
    We used data from 7640 US adults in the 2015–2016 and 2017–March 2020 National Health and Nutrition Examination Survey to estimate means and prevalence ratios (PR) for AL scores (based on cardiovascular, metabolic, and immune biomarkers) associated with self-reported household food security status from multivariable linear and logistic regression models.

    Results:

    Adults in marginally food secure (mean = 3.09, SE = 0.10) and food insecure households (mean = 3.05, SE = 0.08) had higher mean AL than those in food secure households (mean = 2.70, SE = 0.05). Compared to adults in food secure households in the same category, those more likely to have an elevated AL included: SNAP participants (PR = 1.12; 95% confidence interval, CI = 1.03, 1.22) and Hispanic women (PR = 1.20; 95% CI = 1.05, 1.37) in marginally food secure households; and non-Hispanic Black women (PR = 1.14; 95% CI = 1.03, 1.26), men (PR = 1.13; 95% CI = 1.02, 1.26), and non-SNAP non-Hispanic White adults (PR = 1.22; 95% CI = 1.08, 1.39) in food insecure households.

    Conclusions:

    AL may be one pathway by which household food insecurity affects health and may vary by gender, race and ethnicity, and SNAP participation.

  • Subjects:
  • Keywords:
  • Source:
    J Nutr. 154(2):785-793
  • Pubmed ID:
    38158187
  • Pubmed Central ID:
    PMC10922609
  • Document Type:
  • Funding:
  • Volume:
    154
  • Issue:
    2
  • Collection(s):
  • Main Document Checksum:
    urn:sha-512:3787ffca1db4d7b0d55dabe9f2baa8098c42fb37ddce348b9c6efb263cdb0f6fdff66cb4b7a1fc0d17aef295f33d06381b5a167f0b7cc3346bc6d2013de26135
  • Download URL:
  • File Type:
    Filetype[PDF - 267.97 KB ]
File Language:
English
ON THIS PAGE

CDC STACKS serves as an archival repository of CDC-published products including scientific findings, journal articles, guidelines, recommendations, or other public health information authored or co-authored by CDC or funded partners.

As a repository, CDC STACKS retains documents in their original published format to ensure public access to scientific information.