U.S. flag An official website of the United States government.
Official websites use .gov

A .gov website belongs to an official government organization in the United States.

Secure .gov websites use HTTPS

A lock ( ) or https:// means you've safely connected to the .gov website. Share sensitive information only on official, secure websites.

i

Disaggregation of Breastfeeding Initiation Rates by Race and Ethnicity — United States, 2020–2021

Supporting Files Public Domain
File Language:
English


Details

  • Journal Article:
    Preventing Chronic Disease (PCD)
  • Personal Author:
  • Description:
    Introduction

    Although breastfeeding is the ideal source of nutrition for most infants, racial and ethnic disparities exist in its initiation. Surveillance rates based on aggregated data can challenge the understanding and monitoring of effective, culturally appropriate interventions among racial and ethnic subgroups. Aggregated data have historically estimated breastfeeding rates among a few large racial and ethnic groups. We examined differences in breastfeeding initiation rates by disaggregation of data to finer subgroups of race and ethnicity.

    Methods

    We analyzed births from January 1, 2020, through December 31, 2021, in 48 states and the District of Columbia by using National Vital Statistics System birth certificate data. Data indicate whether an infant received any breast milk during birth hospitalization and include self-reported maternal race and ethnicity. Cross-tabulations of race and ethnicity by breastfeeding initiation were calculated and compared across aggregated and disaggregated categories.

    Results

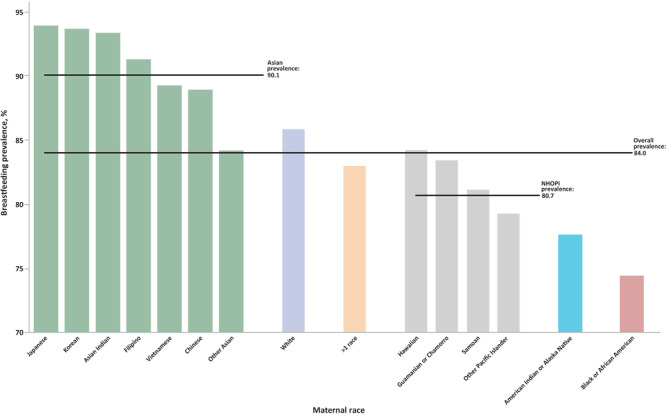
    The overall prevalence of breastfeeding initiation was 84.0%, ranging from 74.5% (mothers identifying as Black) to 94.0% (mothers identifying as Japanese). The aggregated prevalence of breastfeeding initiation among mothers identifying as Hispanic was 86.8%; disaggregated estimates by Hispanic origin ranged from 82.2% (Puerto Rican) to 90.9% (Cuban).

    Conclusion

    Substantial variation in the prevalence of breastfeeding initiation across disaggregated racial or ethnic categories exists. Disaggregation of racial and ethnic data unmasked differences that could reflect variations in cultural practices or systemic barriers to breastfeeding. Understanding why these differences exist could guide public health practitioners’ efforts to improve and tailor breastfeeding support.

  • Subjects:
  • Source:
    Prev Chronic Dis. 2023; 20
  • DOI:
  • ISSN:
    1545-1151
  • Pubmed ID:
    38096123
  • Pubmed Central ID:
    PMC10723082
  • Document Type:
  • Place as Subject:
  • Volume:
    20
  • Collection(s):
  • Main Document Checksum:
    urn:sha-512:19b917c19ea333dc8ae48ec51c6ac36fdaab1294658c624f4f706f457976437593ac417f3424526a7f05ce3e8e45afb72c87367ca06f539845f9870f88cb885f
  • Download URL:
  • File Type:
    Filetype[PDF - 573.26 KB ]
File Language:
English
ON THIS PAGE

CDC STACKS serves as an archival repository of CDC-published products including scientific findings, journal articles, guidelines, recommendations, or other public health information authored or co-authored by CDC or funded partners.

As a repository, CDC STACKS retains documents in their original published format to ensure public access to scientific information.