Metabolic profiling of night shift work – The HORMONIT study
Supporting Files
-
11 2022
-
File Language:
English
Details
-
Alternative Title:Chronobiol Int
-
Personal Author:
-
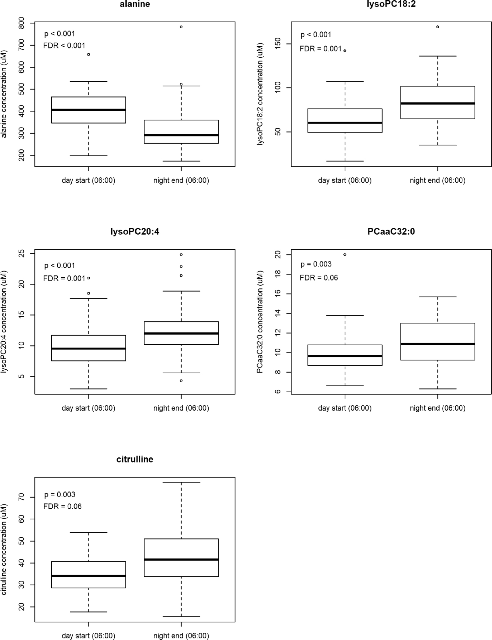
Description:Mechanistic studies are needed to understand how rotating shift work perturbs metabolic processing. We collected plasma samples (n = 196) from 49 males, rotating car factory shift workers at the beginning and end of a night-shift (22:00-06:00 h) and day-shift (06:00 h-14:00 h). Samples underwent targeted LC-MS/MS metabolomics and concentrations of 130 metabolites were log|-transformed and pareto-scaled. An elastic net selected the most influential metabolites for linear mixed models examining within-person variation in metabolite levels at night-shift end (06:00 h) compared to day-shift start (06:00 h). Quantitative enrichment analysis explored differentially enriched biological pathways between sample time points. We included 20 metabolites (amino acids, biogenic amines, acylcarnitines, glycerophospholipids) in mixed models. Night-shift was associated with changes in concentrations of arginine (geometric mean ratio [GMR] 2.30, 95%CI 1.25, 4.23), glutamine (GMR 2.22, 95%CI 1.53, 3.24), kynurenine (GMR 3.22, 95%CI 1.05, 9.87), lysoPC18:2 (GMR 1.86, 95%CI 1.11, 3.11), lysoPC20:3 (GMR 2.48, 95%CI 1.05, 5.83), PCaa34:2 (GMR 2.27, 95%CI 1.16, 4.44), and PCae38:5 (GMR 1.66, 95%CI 1.02, 2.68). Tryptophan metabolism, glutathione metabolism, alanine metabolism, glycine and serine metabolism, and urea cycle were pathways differing between shifts. Night shift work was associated with changes in metabolites and the perturbation of metabolic and biochemical pathways related to a variety of health outcomes.
-
Subjects:
-
Keywords:
-
Source:Chronobiol Int. 39(11):1508-1516
-
Pubmed ID:36210507
-
Pubmed Central ID:PMC10482506
-
Document Type:
-
Funding:
-
Volume:39
-
Issue:11
-
Collection(s):
-
Main Document Checksum:urn:sha-512:d3d39284d04492090ff98e22ee6dd85e42f8cb2fed9acf7c55e2111473a632aa96153260216515c3406f576d15b710ff542fef3ac9905db589318aa508697139
-
Download URL:
-
File Type:
Supporting Files
File Language:
English
ON THIS PAGE
CDC STACKS serves as an archival repository of CDC-published products including
scientific findings,
journal articles, guidelines, recommendations, or other public health information authored or
co-authored by CDC or funded partners.
As a repository, CDC STACKS retains documents in their original published format to ensure public access to scientific information.
As a repository, CDC STACKS retains documents in their original published format to ensure public access to scientific information.
You May Also Like
COLLECTION
CDC Public Access