Risk Factors for Measles Virus Infection Among Adults During a Large Outbreak in Postelimination Era in Mongolia, 2015
Supporting Files
-
12 05 2017
-
File Language:
English
Details
-
Alternative Title:J Infect Dis
-
Personal Author:
-
Description:Background.
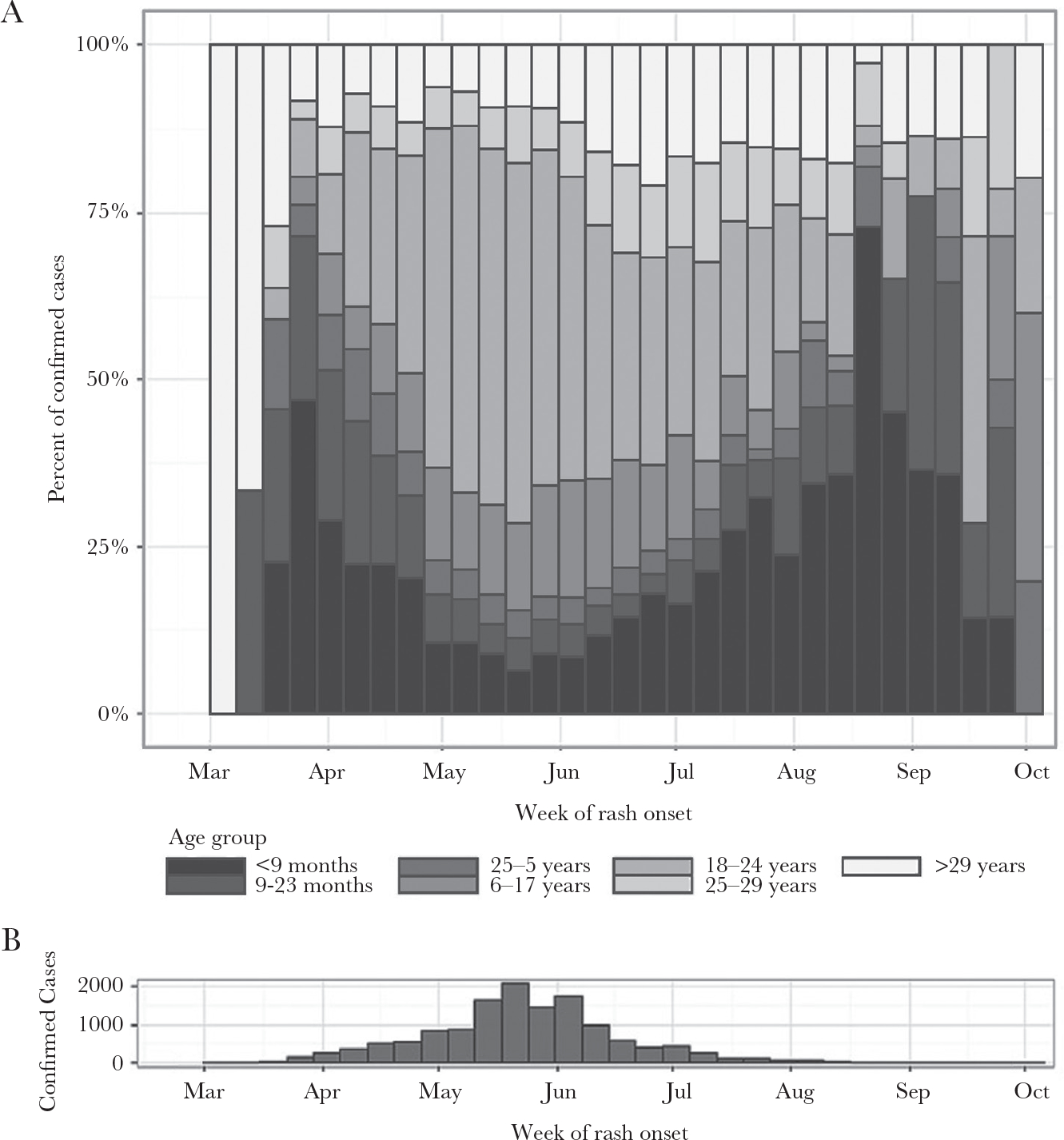
In 2015, a large nationwide measles outbreak occurred in Mongolia, with very high incidence in the capital city of Ulaanbaatar and among young adults.
Methods.
We conducted an outbreak investigation including a matched case-control study of risk factors for laboratory-confirmed measles among young adults living in Ulaanbaatar. Young adults with laboratory-confirmed measles, living in the capital city of Ulaanbaatar, were matched with 2–3 neighborhood controls. Conditional logistic regression was used to estimate adjusted matched odds ratios (aMORs) for risk factors, with 95% confidence intervals.
Results.
During March 1–September 30, 2015, 20 077 suspected measles cases were reported; 14 010 cases were confirmed. Independent risk factors for measles included being unvaccinated (adjusted matched odds ratio [aMOR] 2.0, P < .01), being a high school graduate without college education (aMOR 2.6, P < .01), remaining in Ulaanbaatar during the outbreak (aMOR 2.5, P < .01), exposure to an inpatient healthcare facility (aMOR 4.5 P < .01), and being born outside of Ulaanbaatar (aMOR 1.8, P = .02).
Conclusions.
This large, nationwide outbreak shortly after verification of elimination had high incidence among young adults, particularly those born outside the national capital. In addition, findings indicated that nosocomial transmission within health facilities helped amplify the outbreak.
-
Subjects:
-
Source:J Infect Dis. 216(10):1187-1195
-
Pubmed ID:29040627
-
Pubmed Central ID:PMC10291145
-
Document Type:
-
Funding:
-
Volume:216
-
Issue:10
-
Collection(s):
-
Main Document Checksum:urn:sha256:d3c7030112516ccf7ba2a5e8ad97879ebfcd02ac027e4b8b09a9dff8343dbc91
-
Download URL:
-
File Type:
Supporting Files
File Language:
English
ON THIS PAGE
CDC STACKS serves as an archival repository of CDC-published products including
scientific findings,
journal articles, guidelines, recommendations, or other public health information authored or
co-authored by CDC or funded partners.
As a repository, CDC STACKS retains documents in their original published format to ensure public access to scientific information.
As a repository, CDC STACKS retains documents in their original published format to ensure public access to scientific information.
You May Also Like
COLLECTION
CDC Public Access