Neighborhood-level socioeconomic position during early pregnancy and risk of gastroschisis
Supporting Files
-
7 01 2023
-
File Language:
English
Details
-
Alternative Title:Epidemiology
-
Personal Author:Neo, Dayna T. ; Desrosiers, Tania A. ; Martin, Chantel L. ; Carmichael, Suzan L. ; Gucsavas-Calikoglu, Muge ; Conway, Kristin M. ; Evans, Shannon Pruitt ; Feldkamp, Marcia L. ; Gilboa, Suzanne M. ; Insaf, Tabassum Z. ; Musfee, Fadi I. ; Shaw, Gary M. ; Shumate, Charles J. ; Werler, Martha M. ; Olshan, Andrew F.
-
Corporate Authors:
-
Description:Background:
Neighborhood-level socioeconomic position has been shown to influence birth outcomes, including selected birth defects. This study examines the understudied association between neighborhood-level socioeconomic position during early pregnancy and risk of gastroschisis, an abdominal birth defect of increasing prevalence.
Methods:
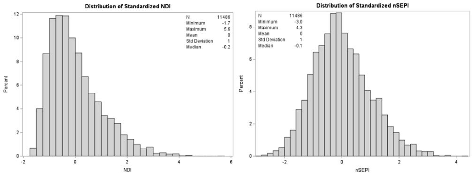
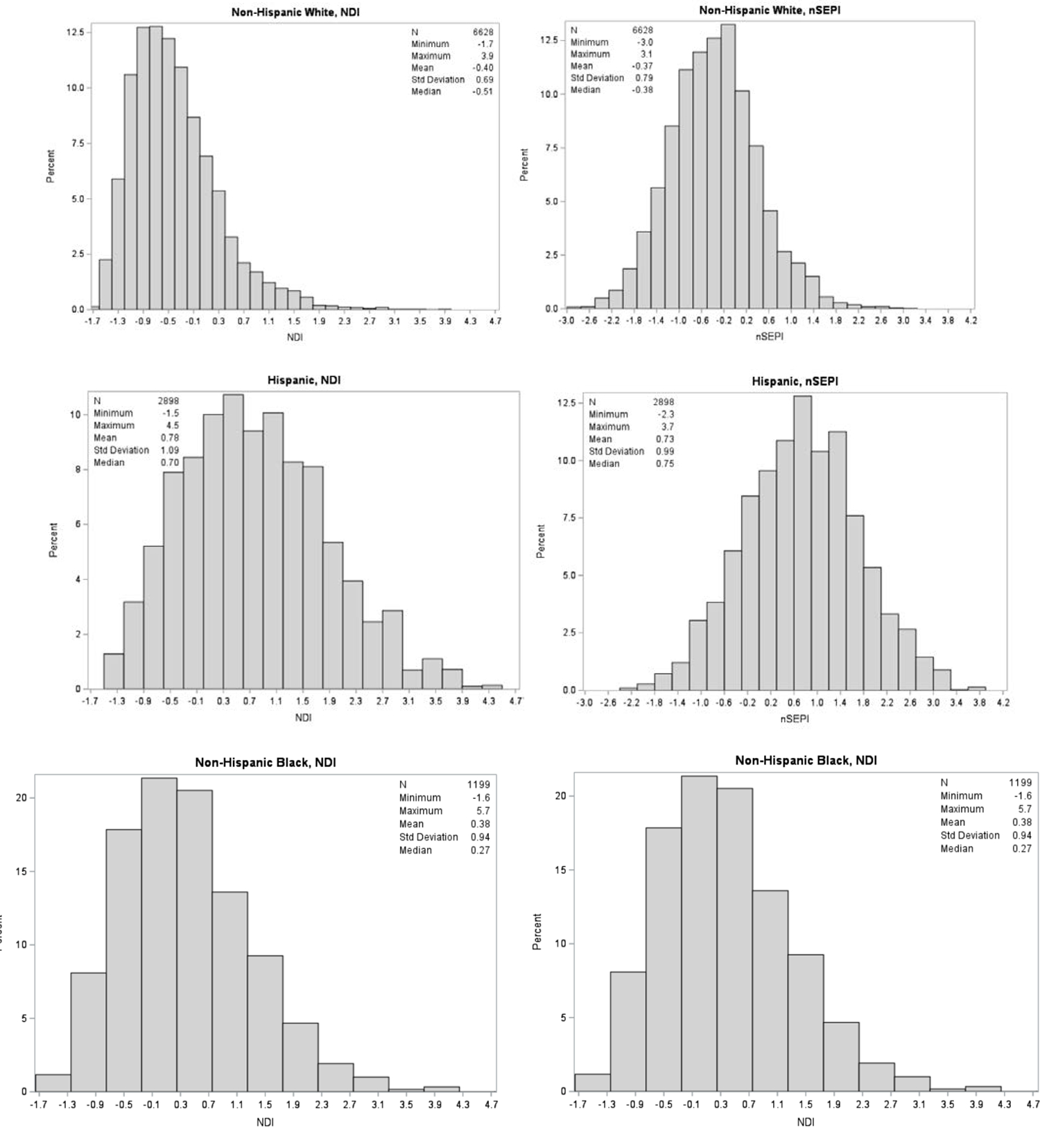
We conducted a case–control study of 1,269 gastroschisis cases and 10,217 controls using data from the National Birth Defects Prevention Study (1997 – 2011). To characterize neighborhood-level socioeconomic position, we conducted principal component analysis to construct two indices – Neighborhood Deprivation Index (NDI) and Neighborhood Socioeconomic Position Index (nSEPI). We created neighborhood-level indices using census socioeconomic indicators corresponding to census tracts associated with addresses where mothers lived the longest during the periconceptional period. We used generalized estimating equations to estimate odds ratios (ORs) and 95% confidence intervals (CIs), with multiple imputation for missing data and adjustment for maternal race–ethnicity, household income, education, birth year, and duration of residence.
Results:
Mothers residing in moderate (NDI Tertile 2 aOR: 1.2; 95% CI: 1.0, 1.5 and nSEPI Tertile 2 aOR: 1.2; 95% CI: 1.0, 1.5) or low socioeconomic neighborhoods (NDI Tertile 3 aOR: 1.3; 95% CI: 1.01, 1.6 and nSEPI Tertile 3 aOR: 1.3, 95% CI: 1.1, 1.6) were more likely to deliver an infant with gastroschisis compared with mothers residing in high socioeconomic neighborhoods.
Conclusions:
Our findings suggest that lower neighborhood-level socioeconomic position during early pregnancy is associated with elevated odds of gastroschisis. Additional epidemiologic studies may aid in confirming this finding and evaluating potential mechanisms linking neighborhood-level socioeconomic factors and gastroschisis.
-
Subjects:
-
Keywords:
-
Source:Epidemiology. 34(4):576-588
-
Pubmed ID:36976718
-
Pubmed Central ID:PMC10291502
-
Document Type:
-
Funding:
-
Volume:34
-
Issue:4
-
Collection(s):
-
Main Document Checksum:urn:sha256:bd85f8a00aeae1ac2f98fee4c4521cb1a44bee6295f10fb87b5068dccf0a8003
-
Download URL:
-
File Type:
Supporting Files
File Language:
English
ON THIS PAGE
CDC STACKS serves as an archival repository of CDC-published products including
scientific findings,
journal articles, guidelines, recommendations, or other public health information authored or
co-authored by CDC or funded partners.
As a repository, CDC STACKS retains documents in their original published format to ensure public access to scientific information.
As a repository, CDC STACKS retains documents in their original published format to ensure public access to scientific information.
You May Also Like
COLLECTION
CDC Public Access