U.S. flag An official website of the United States government.
Official websites use .gov

A .gov website belongs to an official government organization in the United States.

Secure .gov websites use HTTPS

A lock ( ) or https:// means you've safely connected to the .gov website. Share sensitive information only on official, secure websites.

i

NanoSpot™ collector for aerosol sample collection for direct microscopy and spectroscopy analysis

Supporting Files
File Language:
English


Details

  • Alternative Title:
    Aerosol Sci Technol
  • Personal Author:
  • Description:
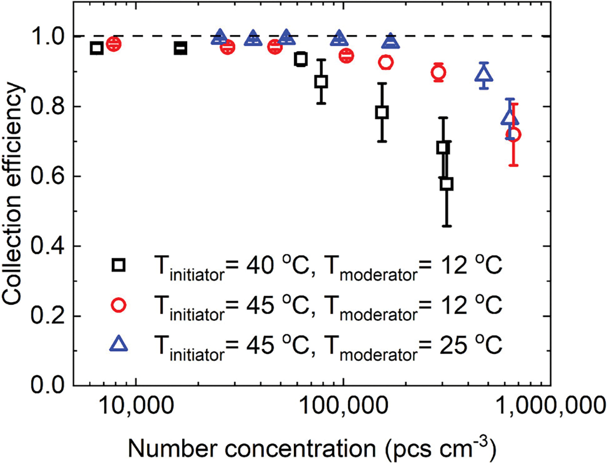
    We describe design and characterization of an aerosol NanoSpot| collector, designed for collection of airborne particles on a microscopy substrate for direct electron and optical microscopy, and laser spectroscopy analysis. The collector implements a water-based, laminar-flow, condensation growth technique, followed by impaction onto an optical/electron microscopy substrate or a transmission electron microscopy grid for direct analysis. The compact design employs three parallel growth tubes allowing a sampling flow rate of 1.2 L min|. Each growth tube consists of three-temperature regions, for controlling the vapor saturation profile and exit dew point. Following the droplet growth, the three streams merge into one flow and a converging nozzle enhances focusing of grown droplets into a tight beam, prior to their final impaction on the warm surface of the collection substrate. Experiments were conducted for the acquisition of the size-dependent collection efficiency and the aerosol concentration effect on the NanoSpot| collector. Particles as small as 7 nm were activated and collected on the electron microscopy stub. The collected particle samples were analyzed using electron microscopy and Raman spectroscopy for the acquisition of the particle spatial distribution, the spot sample uniformity, and the analyte concentration. A spot deposit of approximately 0.7-mm diameter is formed for particles over a broad particle diameter range, for effective coupling with microscopic and spectroscopic analysis. Finally, the NanoSpot| collector's analytical measurement sensitivity for laser Raman analysis and counting statistics for fiber count measurement using optical microscopy were calculated and were compared with those of the conventional aerosol sampling methods.
  • Source:
    Aerosol Sci Technol. 57(4):342-354
  • Pubmed ID:
    37284690
  • Pubmed Central ID:
    PMC10242417
  • Document Type:
  • Funding:
  • Volume:
    57
  • Issue:
    4
  • Collection(s):
  • Main Document Checksum:
    urn:sha256:7e589c21ea1faa625ee19b34aaef84e1bc52f9598a93a4e55aa4a51d88df6e64
  • Download URL:
  • File Type:
    Filetype[PDF - 2.07 MB ]
File Language:
English
ON THIS PAGE

CDC STACKS serves as an archival repository of CDC-published products including scientific findings, journal articles, guidelines, recommendations, or other public health information authored or co-authored by CDC or funded partners.

As a repository, CDC STACKS retains documents in their original published format to ensure public access to scientific information.