U.S. flag An official website of the United States government.
Official websites use .gov

A .gov website belongs to an official government organization in the United States.

Secure .gov websites use HTTPS

A lock ( ) or https:// means you've safely connected to the .gov website. Share sensitive information only on official, secure websites.

i

Case Studies of Robots and Automation as Health/Safety Interventions in Small Manufacturing Enterprises

Supporting Files
File Language:
English


Details

  • Alternative Title:
    Hum Factors Ergon Manuf
  • Personal Author:
  • Description:
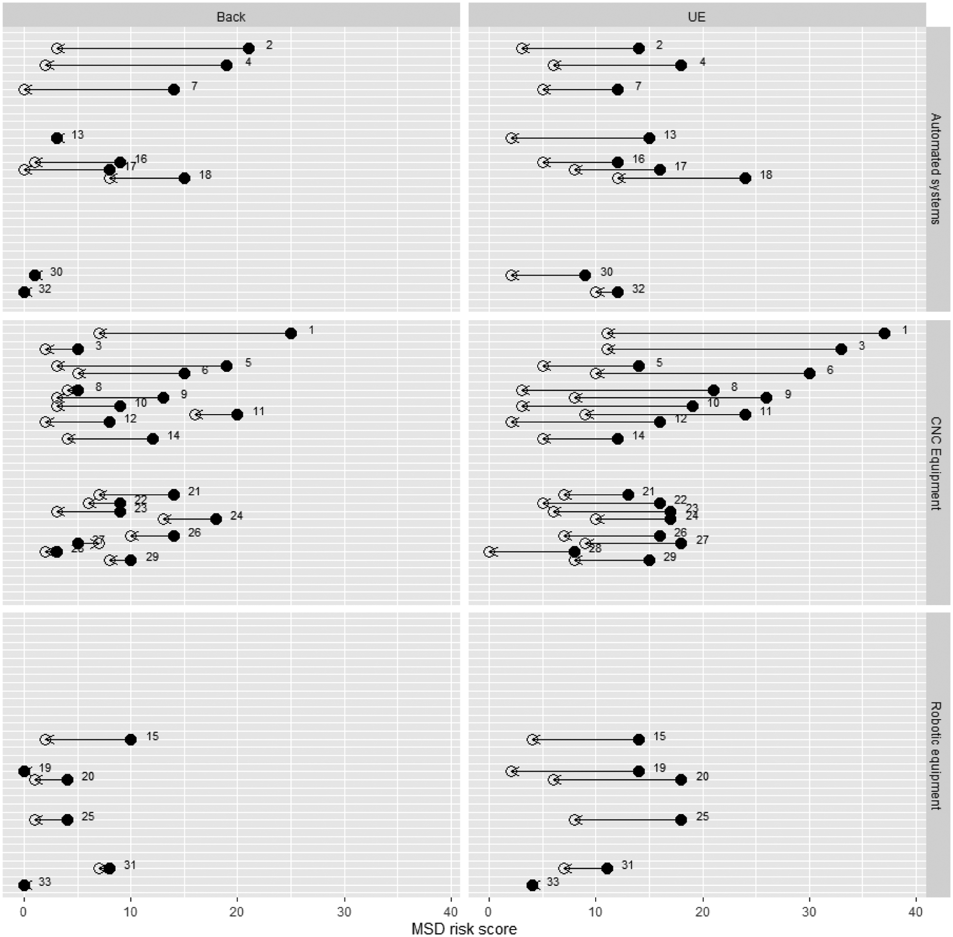
    This paper reviews the experiences of 63 case studies of small businesses (< 250 employees) with manufacturing automation equipment acquired through a health/safety intervention grant program. The review scope included equipment technologies classified as industrial robots (n = 17), computer numerical control (CNC) machining (n = 29), or other programmable automation systems (n = 17). Descriptions of workers' compensation (WC) claim injuries and identified risk factors that motivated acquisition of the equipment were extracted from grant applications. Other aspects of the employer experiences, including qualitative and quantitative assessment of effects on risk factors for musculoskeletal disorders (MSD), effects on productivity, and employee acceptance of the intervention were summarized from the case study reports. Case studies associated with a combination of large reduction in risk factors, lower cost per affected employee, and reported increases in productivity were: CNC stone cutting system, CNC/vertical machining system, automated system for bottling, CNC/routing system for plastics products manufacturing, and a CNC/Cutting system for vinyl/carpet. Six case studies of industrial robots reported quantitative reductions in MSD risk factors in these diverse manufacturing industries: Snack Foods; Photographic Film, Paper, Plate, and Chemical; Machine Shops; Leather Good and Allied Products; Plastic Products; and Iron and Steel Forging. This review of health/safety intervention case studies indicates that advanced (programmable) manufacturing automation, including industrial robots, reduced workplace musculoskeletal risk factors and improved process productivity in most cases.
  • Subjects:
  • Source:
    Hum Factors Ergon Manuf. 33(1):69-103
  • Pubmed ID:
    37206917
  • Pubmed Central ID:
    PMC10191138
  • Document Type:
  • Funding:
  • Volume:
    33
  • Issue:
    1
  • Collection(s):
  • Main Document Checksum:
    urn:sha256:a41131b459dd0a0c4305d7f9507ecd92b26004c2afba688484d47070010be6f8
  • Download URL:
  • File Type:
    Filetype[PDF - 1.29 MB ]
File Language:
English
ON THIS PAGE

CDC STACKS serves as an archival repository of CDC-published products including scientific findings, journal articles, guidelines, recommendations, or other public health information authored or co-authored by CDC or funded partners.

As a repository, CDC STACKS retains documents in their original published format to ensure public access to scientific information.