U.S. flag An official website of the United States government.
Official websites use .gov

A .gov website belongs to an official government organization in the United States.

Secure .gov websites use HTTPS

A lock ( ) or https:// means you've safely connected to the .gov website. Share sensitive information only on official, secure websites.

i

Association between preexisting mental illnesses and mortality among medicaid-insured women diagnosed with breast cancer

Supporting Files
File Language:
English


Details

  • Alternative Title:
    Soc Sci Med
  • Personal Author:
  • Description:
    Background:

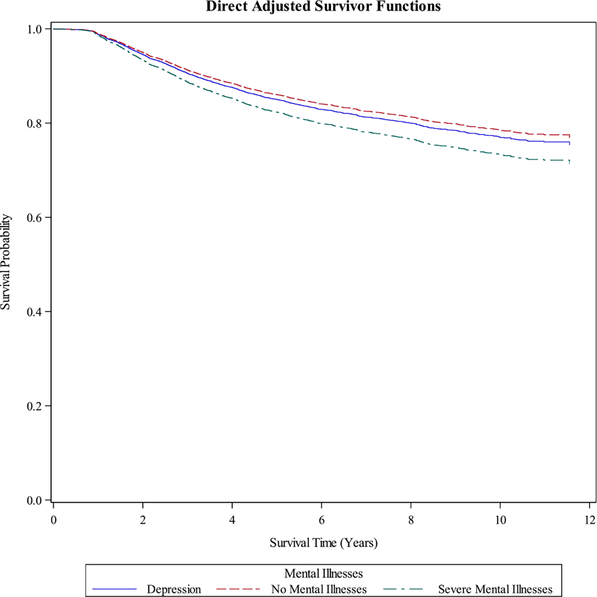
    We investigated the impact of preexisting mental illnesses on all-cause and cause-specific mortality among Medicaid-insured women diagnosed with breast cancer.

    Methods:

    Data from the New York State Cancer Registry for 10,444 women diagnosed with breast cancer from 2004 to 2016 and aged <65 years at diagnosis were linked with Medicaid claims. Women were categorized as having depression or a severe mental illness (SMI) if they had at least three relevant diagnosis claims with at least one claim within three years prior to breast cancer diagnosis. SMI included schizophrenia, bipolar disorder, and other psychotic disorders. Estimated menopausal status was determined by age (premenopausal age <50; postmenopausal age ≥50). Hazard ratios (HR) and 95% confidence intervals (95%CI) were calculated with Cox proportional hazards regression, adjusting for potential confounders.

    Results:

    Preexisting SMI was associated with greater all-cause (HR = 1.36; 95%CI 1.18, 1.57) and cancer-specific (HR = 1.21; 95%CI 1.03, 1.44) mortality compared to those with no mental illnesses. No association was observed between preexisting depression and mortality. Among racial/ethnic subgroups, the association between SMI and all-cause mortality was observed among non-Hispanic white (HR = 1.47; 95%CI 1.19, 1.83) and non-Hispanic Asian/Pacific Islander (HR = 2.59; 95% 1.15, 5.87) women. Additionally, mortality hazards were greatest among women with preexisting SMI that were postmenopausal (HR = 1.49; 95%CI 1.25, 1.78), obese (HR = 1.58; 95%CI 1.26, 1.98), and had documented tobacco use (HR = 1.42; 95%CI 1.13, 1.78).

    Conclusion:

    Women with preexisting SMI prior to breast cancer diagnosis have an elevated mortality hazard and should be monitored and treated by a coordinated cross-functional clinical team.

  • Subjects:
  • Keywords:
  • Source:
    Soc Sci Med. 270:113643
  • Pubmed ID:
    33387965
  • Pubmed Central ID:
    PMC9989878
  • Document Type:
  • Funding:
  • Volume:
    270
  • Collection(s):
  • Main Document Checksum:
    urn:sha-512:0e39eaf8b7da75c8c3bfc3fc80d8e648dfbb861bebc2c3bf26ff16791c1d0bef0c4f2460060752be17ffca1bf12f68fbef005becfb1cf0d17532b7f1c7aebe8d
  • Download URL:
  • File Type:
    Filetype[PDF - 459.92 KB ]
File Language:
English
ON THIS PAGE

CDC STACKS serves as an archival repository of CDC-published products including scientific findings, journal articles, guidelines, recommendations, or other public health information authored or co-authored by CDC or funded partners.

As a repository, CDC STACKS retains documents in their original published format to ensure public access to scientific information.