U.S. flag An official website of the United States government.
Official websites use .gov

A .gov website belongs to an official government organization in the United States.

Secure .gov websites use HTTPS

A lock ( ) or https:// means you've safely connected to the .gov website. Share sensitive information only on official, secure websites.

i

Signals of increasing co-use of stimulants and opioids from online drug forum data

Supporting Files Public Domain
File Language:
English


Details

  • Alternative Title:
    Harm Reduct J
  • Personal Author:
  • Description:
    Background

    Despite recent rises in fatal overdoses involving multiple substances, there is a paucity of knowledge about stimulant co-use patterns among people who use opioids (PWUO) or people being treated with medications for opioid use disorder (PTMOUD). A better understanding of the timing and patterns in stimulant co-use among PWUO based on mentions of these substances on social media can help inform prevention programs, policy, and future research directions. This study examines stimulant co-mention trends among PWUO/PTMOUD on social media over multiple years.

    Methods

    We collected publicly available data from 14 forums on Reddit (subreddits) that focused on prescription and illicit opioids, and medications for opioid use disorder (MOUD). Collected data ranged from 2011 to 2020, and we also collected timelines comprising past posts from a sample of Reddit users (Redditors) on these forums. We applied natural language processing to generate lexical variants of all included prescription and illicit opioids and stimulants and detect mentions of them on the chosen subreddits. Finally, we analyzed and described trends and patterns in co-mentions.

    Results

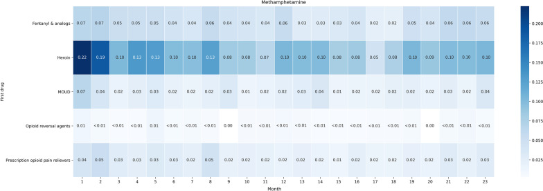
    Posts collected for 13,812 Redditors showed that 12,306 (89.1%) mentioned at least 1 opioid, opioid-related medication, or stimulant. Analyses revealed that the number and proportion of Redditors mentioning both opioids and/or opioid-related medications and stimulants steadily increased over time. Relative rates of co-mentions by the same Redditor of heroin and methamphetamine, the substances most commonly co-mentioned, decreased in recent years, while co-mentions of both fentanyl and MOUD with methamphetamine increased.

    Conclusion

    Our analyses reflect increasing mentions of stimulants, particularly methamphetamine, among PWUO/PTMOUD, which closely resembles the growth in overdose deaths involving both opioids and stimulants. These findings are consistent with recent reports suggesting increasing stimulant use among people receiving treatment for opioid use disorder. These data offer insights on emerging trends in the overdose epidemic and underscore the importance of scaling efforts to address co-occurring opioid and stimulant use including harm reduction and comprehensive healthcare access spanning mental-health services and substance use disorder treatment.

    Supplementary Information

    The online version contains supplementary material available at 10.1186/s12954-022-00628-2.

  • Subjects:
  • Source:
    Harm Reduct J. 19
  • Pubmed ID:
    35614501
  • Pubmed Central ID:
    PMC9131693
  • Document Type:
  • Volume:
    19
  • Collection(s):
  • Main Document Checksum:
    urn:sha256:bc8c45679804460466743e2aee3eb53dc33e13eddb5e63ea2af2a34d678ed152
  • Download URL:
  • File Type:
    Filetype[PDF - 2.05 MB ]
File Language:
English
ON THIS PAGE

CDC STACKS serves as an archival repository of CDC-published products including scientific findings, journal articles, guidelines, recommendations, or other public health information authored or co-authored by CDC or funded partners.

As a repository, CDC STACKS retains documents in their original published format to ensure public access to scientific information.