Association of Greenness with Blood Pressure among Individuals with Type 2 Diabetes across Rural to Urban Community Types in Pennsylvania, USA
Supporting Files
-
1 2021
-
File Language:
English
Details
-
Alternative Title:Int J Environ Res Public Health
-
Personal Author:
-
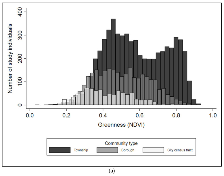
Description:Greenness may impact blood pressure (BP), though evidence is limited among individuals with type 2 diabetes (T2D), for whom BP management is critical. We evaluated associations of residential greenness with BP among individuals with T2D in geographically diverse communities in Pennsylvania. To address variation in greenness type, we evaluated modification of associations by percent forest. We obtained systolic (SBP) and diastolic (DBP) BP measurements from medical records of 9593 individuals following diabetes diagnosis. Proximate greenness was estimated within 1250-m buffers surrounding individuals' residences using the normalized difference vegetation index (NDVI) prior to blood pressure measurement. Percent forest was calculated using the U.S. National Land Cover Database. Linear mixed models with robust standard errors accounted for spatial clustering; models were stratified by community type (townships/boroughs/cities). In townships, the greenest communities, an interquartile range increase in NDVI was associated with reductions in SBP of 0.87 mmHg (95% CI: -1.43, -0.30) and in DBP of 0.41 mmHg (95% CI: -0.78, -0.05). No significant associations were observed in boroughs or cities. Evidence for modification by percent forest was weak. Findings suggest a threshold effect whereby high greenness may be necessary to influence BP in this population and support a slight beneficial impact of greenness on cardiovascular disease risk.
-
Subjects:
-
Source:Int J Environ Res Public Health. 2021; 18(2)
-
Pubmed ID:33450813
-
Pubmed Central ID:PMC7828293
-
Document Type:
-
Funding:
-
Volume:18
-
Issue:2
-
Collection(s):
-
Main Document Checksum:urn:sha256:5a7456591c33a545106b1e933f5a32e62b9b126b969e58e2dad19e1cfdcbcdb9
-
Download URL:
-
File Type:
Supporting Files
File Language:
English
ON THIS PAGE
CDC STACKS serves as an archival repository of CDC-published products including
scientific findings,
journal articles, guidelines, recommendations, or other public health information authored or
co-authored by CDC or funded partners.
As a repository, CDC STACKS retains documents in their original published format to ensure public access to scientific information.
As a repository, CDC STACKS retains documents in their original published format to ensure public access to scientific information.
You May Also Like
COLLECTION
CDC Public Access