Body size and risk of non-Hodgkin lymphoma by subtype: a pooled analysis from six prospective cohorts in the United States
Supporting Files
-
6 2022
-
File Language:
English
Details
-
Alternative Title:Br J Haematol
-
Personal Author:
-
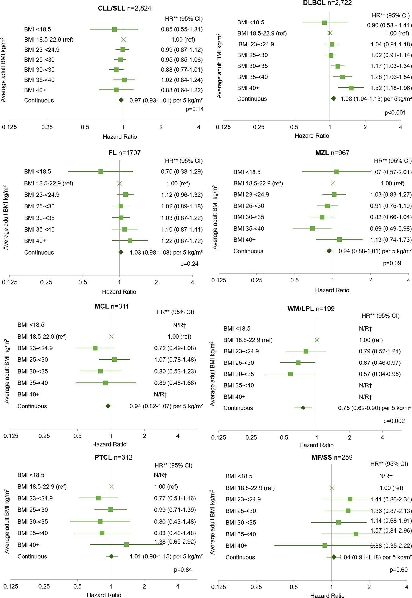
Description:In 2022, more than 100 000 non-Hodgkin lymphoma (NHL) diagnoses are expected, yet few risk factors are confirmed. In this study, data from six US-based cohorts (568 717 individuals) were used to examine body size and risk of NHL. Over more than 20 years of follow-up, 11 263 NHLs were identified. Hazard ratios (HRs) and 95% confidence intervals (CI) estimated associations with NHLs for adult body mass index (BMI), height, weight change, waist circumference and predicted fat mass. Adult height was broadly associated with NHL, but most strongly with B-cell NHLs among non-White participants (e.g. HR| = 2.06, 95% CI: 1.62-2.62). However, the strongest association among the anthropometric traits examined was for young adult BMI and risk of diffuse large B-cell lymphoma (DLBCL), particularly those who maintained a higher BMI into later adulthood. Individuals with BMI over 30 kg/m| throughout adulthood had more than double the DLBCL risk (HR = 2.67, 95% CI: 1.71-4.17) compared to BMI 18.5-22.9 kg/m| . Other anthropometric traits were not associated with NHL after controlling for BMI. These results suggest that sustained high BMI is a major driver of DLBCL risk. If confirmed, we estimate that up to 23.5% of all DLBCLs (and 11.1% of all NHLs) may be prevented with avoidance of young adult obesity.
-
Subjects:
-
Source:Br J Haematol. 197(6):714-727
-
Pubmed ID:35348212
-
Pubmed Central ID:PMC9205171
-
Document Type:
-
Funding:HHSN261201800032C/CA/NCI NIH HHSUnited States/ ; HHSN261201800009C/CA/NCI NIH HHSUnited States/ ; NU58DP006344/DP/NCCDPHP CDC HHSUnited States/ ; P01 CA087969/CA/NCI NIH HHSUnited States/ ; U01 CA176726/CA/NCI NIH HHSUnited States/ ; UM1 CA186107/CA/NCI NIH HHSUnited States/ ; HHSN261201800032I/CA/NCI NIH HHSUnited States/ ; P30 CA033572/CA/NCI NIH HHSUnited States/ ; R01 CA207020/CA/NCI NIH HHSUnited States/ ; HHSN261201800009I/CA/NCI NIH HHSUnited States/ ; U01 CA199277/CA/NCI NIH HHSUnited States/ ; UM1 CA164917/CA/NCI NIH HHSUnited States/ ; R01 CA202712/CA/NCI NIH HHSUnited States/ ; R01 CA098122/CA/NCI NIH HHSUnited States/ ; U01 CA167552/CA/NCI NIH HHSUnited States/ ; HHSN261201800015I/CA/NCI NIH HHSUnited States/ ; P30 CA023100/CA/NCI NIH HHSUnited States/ ; R01 CA077398/CA/NCI NIH HHSUnited States/ ; R01 CA149445/CA/NCI NIH HHSUnited States/ ; HHSN261201800015C/CA/NCI NIH HHSUnited States/
-
Place as Subject:
-
Volume:197
-
Issue:6
-
Collection(s):
-
Main Document Checksum:urn:sha256:ba16e15e0a27f6620ddda0a44cf6398c7d291194f6b28e0c20a9a880a87c6537
-
Download URL:
-
File Type:
Supporting Files
File Language:
English
ON THIS PAGE
CDC STACKS serves as an archival repository of CDC-published products including
scientific findings,
journal articles, guidelines, recommendations, or other public health information authored or
co-authored by CDC or funded partners.
As a repository, CDC STACKS retains documents in their original published format to ensure public access to scientific information.
As a repository, CDC STACKS retains documents in their original published format to ensure public access to scientific information.
You May Also Like
COLLECTION
CDC Public Access