In Vitro Antiviral Activity of New Oxazoline Derivatives as Potent Poliovirus Inhibitors
Supporting Files
-
1 24 2019
-
File Language:
English
Details
-
Alternative Title:J Med Chem
-
Personal Author:
-
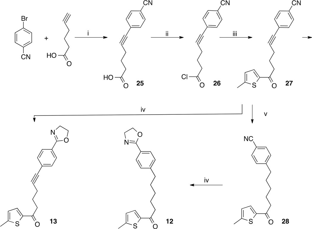
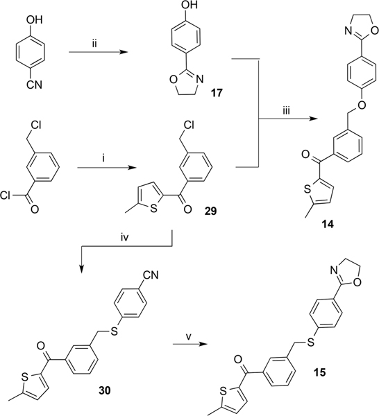
Description:The final stages of polio eradication are proving more difficult than the early phases, and the development of effective drugs and treatments is considered a priority; thus, the research is ongoing. A screening of our in-house chemical library against poliovirus Sabin strains led to the identification of compounds 5 and 6 as hits active at submicromolar concentrations. Derivatives of these compounds were synthesized as a preliminary structure-activity-relationship study. Among them, 7 and 11 were highly active against poliovirus Sabin 1-3. Compound 11 was also very potent against a large panel of wild and vaccine-derived polioviruses. Time-of-addition experiments suggest that 5 and 7 could be active at an early stage of viral replication, whereas 11 was active at same concentration at all stages of viral replication. A ligand-based approach was applied to find the common structural features shared by the new compounds and already-known poliovirus inhibitors.
-
Subjects:
-
Source:J Med Chem. 62(2):798-810
-
Pubmed ID:30512950
-
Pubmed Central ID:PMC9169555
-
Document Type:
-
Funding:
-
Volume:62
-
Issue:2
-
Collection(s):
-
Main Document Checksum:urn:sha256:9fa9ea795dbbc2557ff32017d8bb908a6c1e5eabac3daf99149769bc110626df
-
Download URL:
-
File Type:
Supporting Files
File Language:
English
ON THIS PAGE
CDC STACKS serves as an archival repository of CDC-published products including
scientific findings,
journal articles, guidelines, recommendations, or other public health information authored or
co-authored by CDC or funded partners.
As a repository, CDC STACKS retains documents in their original published format to ensure public access to scientific information.
As a repository, CDC STACKS retains documents in their original published format to ensure public access to scientific information.
You May Also Like
COLLECTION
CDC Public Access