U.S. flag An official website of the United States government.
Official websites use .gov

A .gov website belongs to an official government organization in the United States.

Secure .gov websites use HTTPS

A lock ( ) or https:// means you've safely connected to the .gov website. Share sensitive information only on official, secure websites.

i

Rapid detection and typing of pathogenic nonpneumophila Legionella spp. isolates using a multiplex real-time PCR assay

Supporting Files
File Language:
English


Details

  • Alternative Title:
    Diagn Microbiol Infect Dis
  • Personal Author:
  • Description:
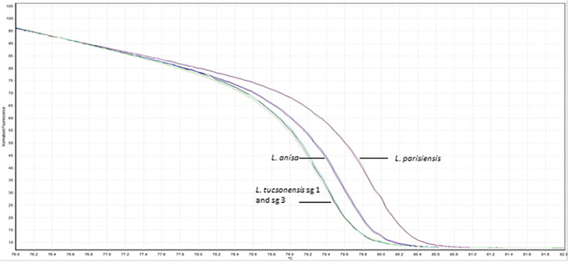
    We developed a single tube multiplex real-time PCR assay that allows for the rapid detection and typing of 9 nonpneumophila Legionella spp. isolates that are clinically relevant. The multiplex assay is capable of simultaneously detecting and discriminating L. micdadei, L. bozemanii, L. dumoffii, L. longbeachae, L. feeleii, L. anisa, L. parisiensis, L. tucsonensis serogroup (sg) 1 and 3, and L. sainthelensis sg 1 and 2 isolates. Evaluation of the assay with nucleic acid from each of these species derived from both clinical and environmental isolates and typing strains demonstrated 100% sensitivity and 100% specificity when tested against 43 other Legionella spp. Typing of L. anisa, L. parisiensis, and L. tucsonensis sg 1 and 3 isolates was accomplished by developing a real-time PCR assay followed by high-resolution melt (HRM) analysis targeting the ssrA gene. Further typing of L. bozemanii, L. longbeachae, and L. feeleii isolates to the serogroup level was accomplished by developing a real-time PCR assay followed by HRM analysis targeting the mip gene. When used in conjunction with other currently available diagnostic tests, these assays may aid in rapidly identifying specific etiologies associated with Legionella outbreaks, clusters, sporadic cases, and potential environmental sources.
  • Subjects:
  • Keywords:
  • Source:
    Diagn Microbiol Infect Dis. 84(4):298-303
  • Pubmed ID:
    26867966
  • Pubmed Central ID:
    PMC8972187
  • Document Type:
  • Funding:
  • Volume:
    84
  • Issue:
    4
  • Collection(s):
  • Main Document Checksum:
    urn:sha256:8c6693c2e3fbaa611687427b10a7b54534d2ffa7997176e12b6ebe664f032e04
  • Download URL:
  • File Type:
    Filetype[PDF - 733.36 KB ]
File Language:
English
ON THIS PAGE

CDC STACKS serves as an archival repository of CDC-published products including scientific findings, journal articles, guidelines, recommendations, or other public health information authored or co-authored by CDC or funded partners.

As a repository, CDC STACKS retains documents in their original published format to ensure public access to scientific information.