Is Symptom Screening Useful for Identifying COVID-19 Infection in School Settings? Georgia, USA
Supporting Files
-
12 2021
-
File Language:
English
Details
-
Alternative Title:J Sch Nurs
-
Personal Author:
-
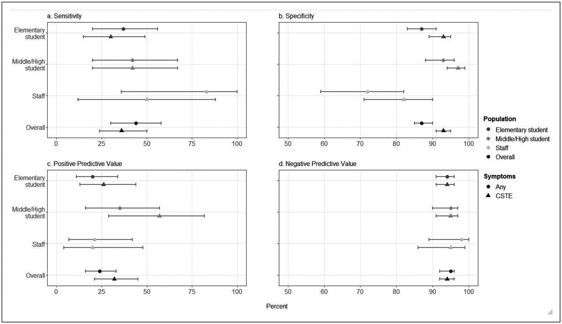
Description:This study's goal was to characterize the utility of symptom screening in staff and students for COVID-19 identification and control of transmission in a school setting. We conducted a secondary analysis of cross-sectional data for staff, students and associated household members in a Georgia school district exposed to COVID-19 cases who received RT-PCR testing and symptom monitoring. Among positive contacts, 30/49 (61%) of students and 1/6 (17%) of staff reported no symptoms consistent with COVID-19. Symptom sensitivity was 30% in elementary students and 42% in middle/high students. Fifty-three percent (10/19) of symptomatic positive contacts had at least one household member test positive for SARS-CoV-2 compared with 50% (10/20) of asymptomatic positive contacts. The absence of symptoms in children is not indicative of a lack of SARS-CoV-2 infection or reduced risk of infection for associated household members. Testing all close contacts of people with COVID-19 in schools is needed to interrupt transmission networks.
-
Subjects:
-
Source:J Sch Nurs. 37(6):503-512
-
Pubmed ID:34612108
-
Pubmed Central ID:PMC8911526
-
Document Type:
-
Funding:
-
Place as Subject:
-
Volume:37
-
Issue:6
-
Collection(s):
-
Main Document Checksum:urn:sha256:cd351d2d21a52d9e79b59dad5c8c83a666bf7b7ab7346d3fccf18afa6cc864c1
-
Download URL:
-
File Type:
Supporting Files
File Language:
English
ON THIS PAGE
CDC STACKS serves as an archival repository of CDC-published products including
scientific findings,
journal articles, guidelines, recommendations, or other public health information authored or
co-authored by CDC or funded partners.
As a repository, CDC STACKS retains documents in their original published format to ensure public access to scientific information.
As a repository, CDC STACKS retains documents in their original published format to ensure public access to scientific information.
You May Also Like
COLLECTION
CDC Public Access