U.S. flag An official website of the United States government.
Official websites use .gov

A .gov website belongs to an official government organization in the United States.

Secure .gov websites use HTTPS

A lock ( ) or https:// means you've safely connected to the .gov website. Share sensitive information only on official, secure websites.

i

Duration of Exposure Among Close Contacts of Patients With Infectious Tuberculosis and Risk of Latent Tuberculosis Infection

Supporting Files
File Language:
English


Details

  • Alternative Title:
    Clin Infect Dis
  • Personal Author:
  • Description:
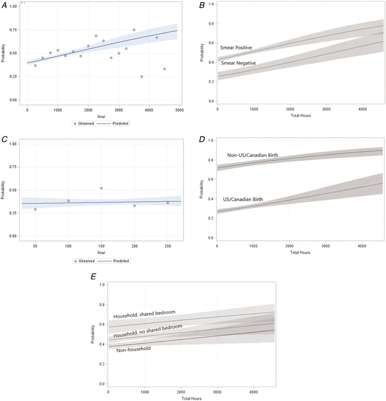
    Background.

    Predictors of latent tuberculosis infection (LTBI) among close contacts of persons with infectious tuberculosis (TB) are incompletely understood, particularly the number of exposure hours.

    Methods.

    We prospectively enrolled adult patients with culture-confirmed pulmonary TB and their close contacts at 9 health departments in the United States and Canada. Patients with TB were interviewed and close contacts were interviewed and screened for TB and LTBI during contact investigations.

    Results.

    LTBI was diagnosed in 1390 (46%) of 3040 contacts, including 624 (31%) of 2027 US/Canadian-born and 766 (76%) of 1013 non-US/Canadian-born contacts. In multivariable analysis, age ≥5 years, male sex, non-US/Canadian birth, smear-positive index patient, and shared bedroom with an index patient (P < .001 for each), as well as exposure to >1 index patient (P < .05), were associated with LTBI diagnosis. LTBI prevalence increased with increasing exposure duration, with an incremental prevalence increase of 8.2% per 250 exposure hours (P < .0001). For contacts with <250 exposure hours, no difference in prevalence was observed per 50 exposure hours (P = .63).

    Conclusions.

    Hours of exposure to a patient with infectious TB is an important LTBI predictor, with a possible risk threshold of 250 hours. More exposures, closer exposure proximity, and more extensive index patient disease were additional LTBI predictors.

  • Subjects:
  • Source:
    Clin Infect Dis. 71(7):1627-1634
  • Pubmed ID:
    32044987
  • Pubmed Central ID:
    PMC8851607
  • Document Type:
  • Funding:
  • Place as Subject:
  • Volume:
    71
  • Issue:
    7
  • Collection(s):
  • Main Document Checksum:
    urn:sha256:81f8929cf3941522b4c6eb17f22c63e8c6daf7a4cbf314c1f9d5aa9145de6e0a
  • Download URL:
  • File Type:
    Filetype[PDF - 259.74 KB ]
File Language:
English
ON THIS PAGE

CDC STACKS serves as an archival repository of CDC-published products including scientific findings, journal articles, guidelines, recommendations, or other public health information authored or co-authored by CDC or funded partners.

As a repository, CDC STACKS retains documents in their original published format to ensure public access to scientific information.