Trend and survival benefit of Oncotype DX use among female hormone receptor-positive breast cancer patients in 17 SEER registries, 2004–2015
Supporting Files
-
4 2020
-
File Language:
English
Details
-
Alternative Title:Breast Cancer Res Treat
-
Personal Author:
-
Description:Purpose
To examine (1) the trend and associated factors of Oncotype DX (ODX) use among hormone receptor-positive (HR+) breast cancer (BC) patients in 2004–2015; (2) the trend of reported chemotherapy by Recurrence Score (RS); and (3) the survival differences associated with ODX use.
Methods
ODX data from Genomic Health Inc. were linked with 17 SEER registries data. HR + BC cases with lymph node negative (N0) or 1–3 positive LNs (N1) from 2004–2015 were analyzed. The Cochrane-Armitage trend test, logistic regression, Kaplan–Meier survival curve, and stratified Cox model were performed. Survival analysis was restricted to HR+/HER2− patients from 2010 to 2014, matched on propensity score.
Results
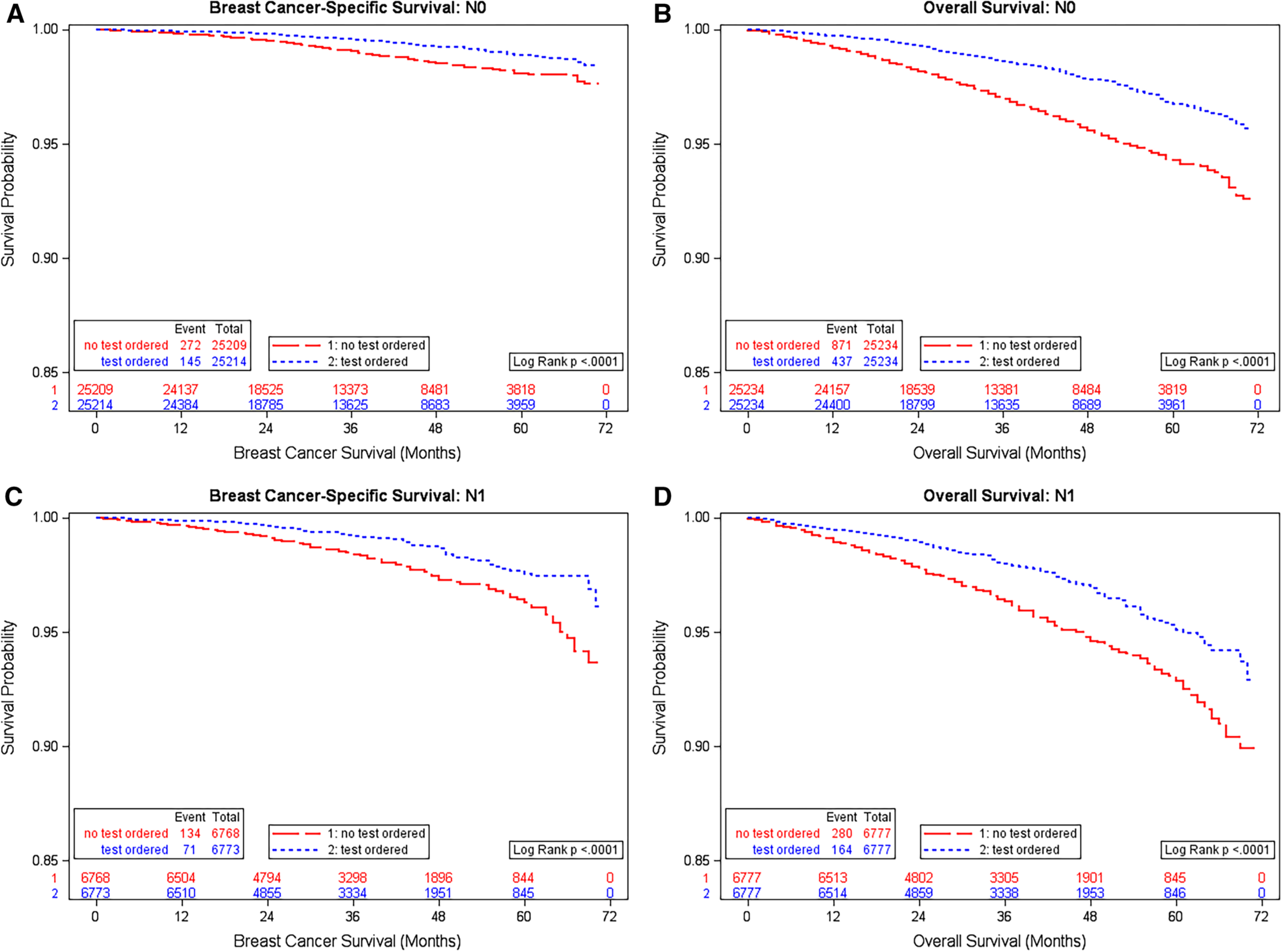
ODX use increased substantially from 2004 to 2015 (N0: 2.0% to 42.7%; N1: 0.3% to 27.9%). Non-Hispanic black and Medicaid insured patients had lower odds of receiving ODX. N0 patients with moderately differentiated or 2.1–5.0 cm tumor and N1 patients with well-differentiated or < 2.0 cm tumor had higher odds of using ODX. The reported chemotherapy use decreased significantly with low and intermediate RS, and increased for high RS among N0 patients. ODX use was associated with better breast cancer-specific survival [hazard ratio (95% CI) N0 1.96 (1.60–2.41), N1 1.90 (1.42–2.54)] and overall survival [N0 2.06 (1.83–2.31), N1 1.72 (1.42–2.09)], especially in the first 36 months.
Conclusion
ODX use has increased significantly since 2004, nonetheless disparities remain, especially for racial/ethnic minorities and Medicaid insured patients. Administering chemotherapy based on ODX results has been improved among N0 patients. Patients receiving ODX had better survival than those not.
-
Subjects:
-
Source:Breast Cancer Res Treat. 180(2):491-501
-
Pubmed ID:32060781
-
Pubmed Central ID:PMC8715716
-
Document Type:
-
Funding:R15 MD012387/MD/NIMHD NIH HHSUnited States/ ; R15MD012387/MD/NIMHD NIH HHSUnited States/ ; U58 DP003915/DP/NCCDPHP CDC HHSUnited States/ ; Internal funding/Clemson University/ ; HHSN261201300016I/CA/NCI NIH HHSUnited States/ ; U58DP003915/CC/CDC HHSUnited States/ ; HHSN261201300016C/CA/NCI NIH HHSUnited States/
-
Volume:180
-
Issue:2
-
Collection(s):
-
Main Document Checksum:urn:sha256:cf46073c3da616a0f89adb7299b20515ff5f5adbd653e2da6624f2f137d5d2dc
-
Download URL:
-
File Type:
Supporting Files
File Language:
English
ON THIS PAGE
CDC STACKS serves as an archival repository of CDC-published products including
scientific findings,
journal articles, guidelines, recommendations, or other public health information authored or
co-authored by CDC or funded partners.
As a repository, CDC STACKS retains documents in their original published format to ensure public access to scientific information.
As a repository, CDC STACKS retains documents in their original published format to ensure public access to scientific information.
You May Also Like
COLLECTION
CDC Public Access