Effects of Patient Characteristics on Diagnostic Performance of Self-Collected Samples for SARS-CoV-2 Testing
Supporting Files
Public Domain
-
2021
-
File Language:
English
Details
-
Alternative Title:Emerg Infect Dis
-
Personal Author:Smith-Jeffcoat, Sarah E. ; Koh, Mitsuki ; Hoffman, Adam ; Rebolledo, Paulina A. ; Schechter, Marcos C. ; Miller, Halie K. ; Sleweon, Sadia ; Rossetti, Rebecca ; Kasinathan, Vyjayanti ; Shragai, Talya ; O’Laughlin, Kevin ; Espinosa, Catherine C. ; Khalil, George M. ; Adeyemo, AdeSubomi O. ; Moorman, Anne ; Bauman, Brenda L. ; Joseph, Kahaliah ; O’Hegarty, Michelle ; Kamal, Nazia ; Atallah, Hany ; Moore, Brooks L. ; Bohannon, Caitlin D. ; Bankamp, Bettina ; Hartloge, Claire ; Bowen, Michael D. ; Paulick, Ashley ; Gargis, Amy S. ; Elkins, Christopher ; Stewart, Rebekah J. ; da Silva, Juliana ; Biedron, Caitlin ; Tate, Jacqueline E. ; Wang, Yun F. ; Kirking, Hannah L.
-
Corporate Authors:
-
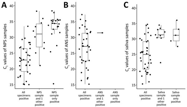
Description:We evaluated the performance of self-collected anterior nasal swab (ANS) and saliva samples compared with healthcare worker-collected nasopharyngeal swab specimens used to test for severe acute respiratory syndrome coronavirus 2 (SARS-CoV-2). We used the same PCR diagnostic panel to test all self-collected and healthcare worker-collected samples from participants at a public hospital in Atlanta, Georgia, USA. Among 1,076 participants, 51.9% were men, 57.1% were >50 years of age, 81.2% were Black (non-Hispanic), and 74.9% reported >1 chronic medical condition. In total, 8.0% tested positive for SARS-CoV-2. Compared with nasopharyngeal swab samples, ANS samples had a sensitivity of 59% and saliva samples a sensitivity of 68%. Among participants tested 3-7 days after symptom onset, ANS samples had a sensitivity of 80% and saliva samples a sensitivity of 85%. Sensitivity varied by specimen type and patient characteristics. These findings can help physicians interpret PCR results for SARS-CoV-2.
-
Subjects:
-
Source:Emerg Infect Dis. 27(8):2081-2089
-
Pubmed ID:34286681
-
Pubmed Central ID:PMC8314823
-
Document Type:
-
Place as Subject:
-
Location:
-
Volume:27
-
Issue:8
-
Collection(s):
-
Main Document Checksum:urn:sha256:7ff790dff25c72788a798b3cbebdb48fc1660b5e8414fdd91d621652b5b756ec
-
Download URL:
-
File Type:
Supporting Files
File Language:
English
ON THIS PAGE
CDC STACKS serves as an archival repository of CDC-published products including
scientific findings,
journal articles, guidelines, recommendations, or other public health information authored or
co-authored by CDC or funded partners.
As a repository, CDC STACKS retains documents in their original published format to ensure public access to scientific information.
As a repository, CDC STACKS retains documents in their original published format to ensure public access to scientific information.
You May Also Like
COLLECTION
Emerging Infectious Diseases