U.S. flag An official website of the United States government.
Official websites use .gov

A .gov website belongs to an official government organization in the United States.

Secure .gov websites use HTTPS

A lock ( ) or https:// means you've safely connected to the .gov website. Share sensitive information only on official, secure websites.

i

Association between Birth Region and Time to Tuberculosis Diagnosis among Non–US-Born Persons in the United States

Supporting Files Public Domain
File Language:
English


Details

  • Alternative Title:
    Emerg Infect Dis
  • Personal Author:
  • Description:
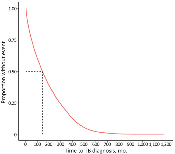
    Approximately 90% of tuberculosis (TB) cases among non-US-born persons in the United States are attributable to progression of latent TB infection to TB disease. Using survival analysis, we investigated whether birthplace is associated with time to disease progression among non-US-born persons in whom TB disease developed. We derived a Cox regression model comparing differences in time to TB diagnosis after US entry among 19 birth regions, adjusting for sex, birth year, and age at entry. After adjusting for age at entry and birth year, the median time to TB diagnosis was lowest among persons from Middle Africa, 128 months (95% CI 116-146 months) for male persons and 121 months (95% CI 108-136 months) for female persons. We found time to TB diagnosis among non-US-born persons varied by birth region, which represents a prognostic indicator for progression of latent TB infection to TB disease.
  • Subjects:
  • Source:
    Emerg Infect Dis. 27(6):1645-1653
  • Pubmed ID:
    34013876
  • Pubmed Central ID:
    PMC8153865
  • Document Type:
  • Place as Subject:
  • Volume:
    27
  • Issue:
    6
  • Collection(s):
  • Main Document Checksum:
    urn:sha256:6e2d100925199d9b3dbaeef4b7d928ffbf7932084c0db0a24790065803d6720d
  • Download URL:
  • File Type:
    Filetype[PDF - 2.39 MB ]
File Language:
English
ON THIS PAGE

CDC STACKS serves as an archival repository of CDC-published products including scientific findings, journal articles, guidelines, recommendations, or other public health information authored or co-authored by CDC or funded partners.

As a repository, CDC STACKS retains documents in their original published format to ensure public access to scientific information.