Persistence and decay of human antibody responses to the receptor binding domain of SARS-CoV-2 spike protein in COVID-19 patients
Supporting Files
-
10 08 2020
-
-
File Language:
English
Details
-
Alternative Title:Sci Immunol
-
Personal Author:Iyer, Anita S. ; Jones, Forrest K. ; Nodoushani, Ariana ; Kelly, Meagan ; Becker, Margaret ; Slater, Damien ; Mills, Rachel ; Teng, Erica ; Kamruzzaman, Mohammad ; Garcia-Beltran, Wilfredo F. ; Astudillo, Michael ; Yang, Diane ; Miller, Tyler E. ; Oliver, Elizabeth ; Fischinger, Stephanie ; Atyeo, Caroline ; Iafrate, A. John ; Calderwood, Stephen B. ; Lauer, Stephen A. ; Yu, Jingyou ; Li, Zhenfeng ; Feldman, Jared ; Hauser, Blake M. ; Caradonna, Timothy M. ; Branda, John A. ; Turbett, Sarah E. ; LaRocque, Regina C. ; Mellon, Guillaume ; Barouch, Dan H. ; Schmidt, Aaron G. ; Azman, Andrew S. ; Alter, Galit ; Ryan, Edward T ; Harris, Jason B. ; Charles, Richelle C.
-
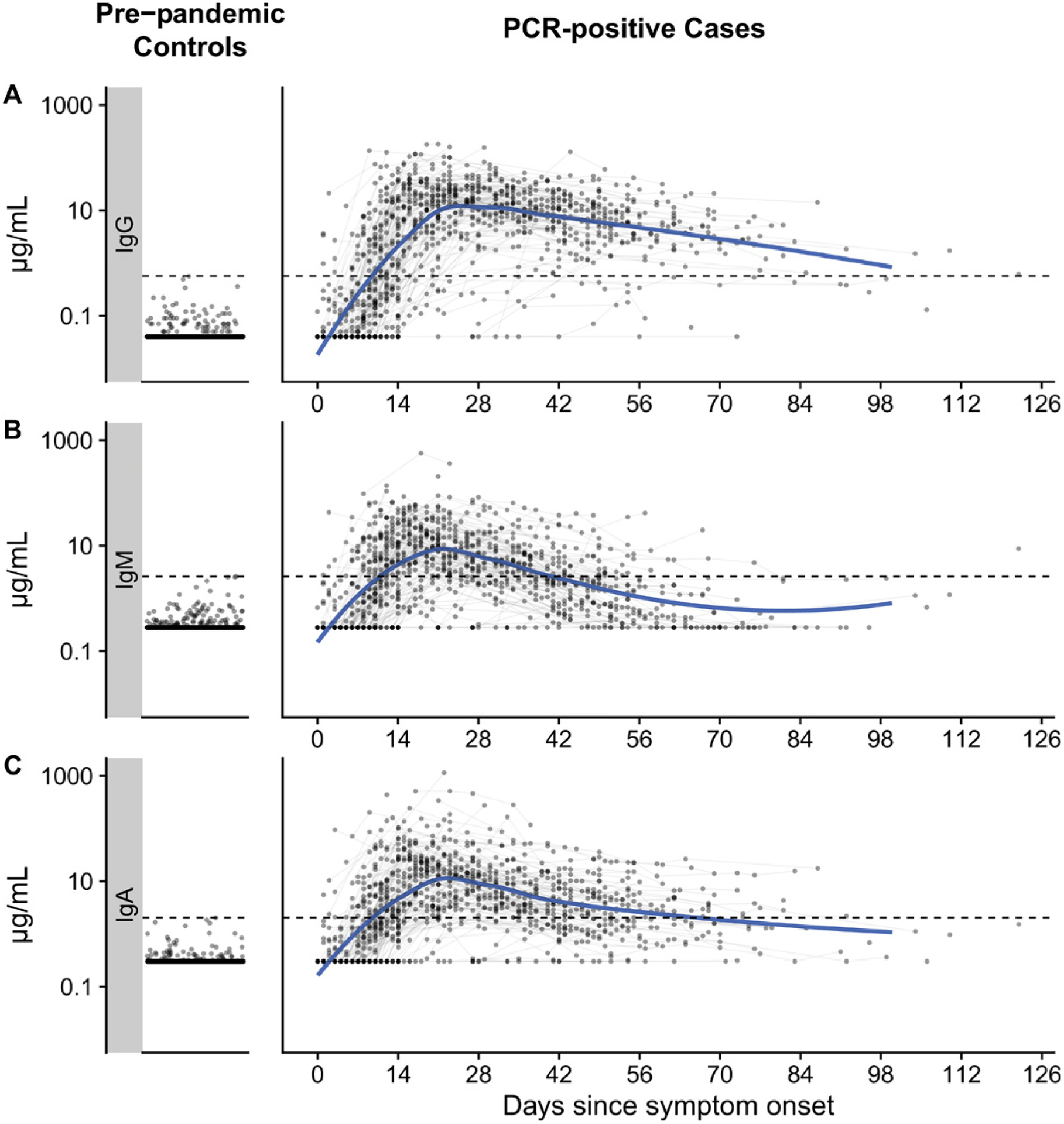
Description:We measured plasma and/or serum antibody responses to the receptor-binding domain (RBD) of the spike (S) protein of SARS-CoV-2 in 343 North American patients infected with SARS-CoV-2 (of which 93% required hospitalization) up to 122 days after symptom onset and compared them to responses in 1548 individuals whose blood samples were obtained prior to the pandemic. After setting seropositivity thresholds for perfect specificity (100%), we estimated sensitivities of 95% for IgG, 90% for IgA, and 81% for IgM for detecting infected individuals between 15 and 28 days after symptom onset. While the median time to seroconversion was nearly 12 days across all three isotypes tested, IgA and IgM antibodies against RBD were short-lived with median times to seroreversion of 71 and 49 days after symptom onset. In contrast, anti-RBD IgG responses decayed slowly through 90 days with only 3 seropositive individuals seroreverting within this time period. IgG antibodies to SARS-CoV-2 RBD were strongly correlated with anti-S neutralizing antibody titers, which demonstrated little to no decrease over 75 days since symptom onset. We observed no cross-reactivity of the SARS-CoV-2 RBD-targeted antibodies with other widely circulating coronaviruses (HKU1, 229 E, OC43, NL63). These data suggest that RBD-targeted antibodies are excellent markers of previous and recent infection, that differential isotype measurements can help distinguish between recent and older infections, and that IgG responses persist over the first few months after infection and are highly correlated with neutralizing antibodies.
-
Subjects:
-
Source:Sci Immunol. 5(52)
-
Pubmed ID:33033172
-
Pubmed Central ID:PMC7857394
-
Document Type:
-
Funding:T32 AI007245/AI/NIAID NIH HHSUnited States/ ; R01 T32GM007753/NH/NIH HHSUnited States/ ; R01 AI135115/AI/NIAID NIH HHSUnited States/ ; T32 GM007753/GM/NIGMS NIH HHSUnited States/ ; R01 AI146779/AI/NIAID NIH HHSUnited States/ ; U01 CK000490/CK/NCEZID CDC HHSUnited States/ ; T32 GM008313/GM/NIGMS NIH HHSUnited States/ ; U01CK000490/ACL/ACL HHSUnited States/
-
Volume:5
-
Issue:52
-
Collection(s):
-
Main Document Checksum:urn:sha256:929540e25eb2f42bd8ee97d0bf7d888418ea938baf8b73c919e60ccd5fd64c92
-
Download URL:
-
File Type:
Supporting Files
File Language:
English
ON THIS PAGE
CDC STACKS serves as an archival repository of CDC-published products including
scientific findings,
journal articles, guidelines, recommendations, or other public health information authored or
co-authored by CDC or funded partners.
As a repository, CDC STACKS retains documents in their original published format to ensure public access to scientific information.
As a repository, CDC STACKS retains documents in their original published format to ensure public access to scientific information.
You May Also Like
COLLECTION
CDC Public Access