Effects of Social Distancing Measures during the First Epidemic Wave of Severe Acute Respiratory Syndrome Infection, Greece
Supporting Files
Public Domain
-
February 2021
-
File Language:
English
Details
-
Alternative Title:Emerg Infect Dis
-
Personal Author:
-
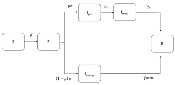
Description:Greece imposed a nationwide lockdown in March 2020 to mitigate transmission of severe acute respiratory syndrome coronavirus 2 during the first epidemic wave. We conducted a survey on age-specific social contact patterns to assess effects of physical distancing measures and used a susceptible-exposed-infectious-recovered model to simulate the epidemic. Because multiple distancing measures were implemented simultaneously, we assessed their overall effects and the contribution of each measure. Before measures were implemented, the estimated basic reproduction number (R|) was 2.38 (95% CI 2.01-2.80). During lockdown, daily contacts decreased by 86.9% and R| decreased by 81.0% (95% credible interval [CrI] 71.8%-86.0%); each distancing measure decreased R| by 10%-24%. By April 26, the attack rate in Greece was 0.12% (95% CrI 0.06%-0.26%), one of the lowest in Europe, and the infection fatality ratio was 1.12% (95% CrI 0.55%-2.31%). Multiple social distancing measures contained the first epidemic wave in Greece.
-
Subjects:
-
Source:Emerg Infect Dis. 27(2):452-462
-
Pubmed ID:33496221
-
Pubmed Central ID:PMC7853557
-
Document Type:
-
Place as Subject:
-
Location:
-
Volume:27
-
Issue:2
-
Collection(s):
-
Main Document Checksum:urn:sha256:d446952a918df4da50a7e82e54dfd6b011bac4c9b2562f6e6a6dc2bb681a6d6d
-
Download URL:
-
File Type:
Supporting Files
File Language:
English
ON THIS PAGE
CDC STACKS serves as an archival repository of CDC-published products including
scientific findings,
journal articles, guidelines, recommendations, or other public health information authored or
co-authored by CDC or funded partners.
As a repository, CDC STACKS retains documents in their original published format to ensure public access to scientific information.
As a repository, CDC STACKS retains documents in their original published format to ensure public access to scientific information.
You May Also Like
COLLECTION
Emerging Infectious Diseases