U.S. flag An official website of the United States government.
Official websites use .gov

A .gov website belongs to an official government organization in the United States.

Secure .gov websites use HTTPS

A lock ( ) or https:// means you've safely connected to the .gov website. Share sensitive information only on official, secure websites.

i

COVID-19 Mitigation Behaviors by Age Group — U.S. April–June 2020

Supporting Files Public Domain
File Language:
English


Details

  • Journal Article:
    Morbidity and Mortality Weekly Report (MMWR)
  • Personal Author:
  • Description:
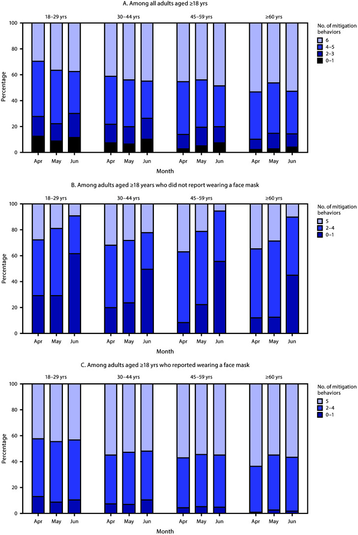
    CDC recommends a number of mitigation behaviors to prevent the spread of SARS-CoV-2, the Virus that causes coronaVirus disease 2019 (COVID-19). Those behaviors include 1) covering the nose and mouth with a mask to protect others from possible infection when in public settings and when around persons who live outside of one's household or around ill household members; 2) maintaining at least 6 feet (2 meters) of distance from persons who live outside one's household, and keeping oneself distant from persons who are ill; and 3) washing hands often with soap and water for at least 20 seconds, or, if soap and water are not available, using hand sanitizer containing at least 60% alcohol (1). Age has been positively associated with mask use (2), although less is known about other recommended mitigation behaviors. Monitoring mitigation behaviors over the course of the pandemic can inform targeted communication and behavior modification strategies to slow the spread of COVID-19. The Data Foundation COVID Impact Survey collected nationally representative data on reported mitigation behaviors during April-June 2020 among adults in the U.S. aged ≥18 years (3). Reported use of face masks increased from 78% in April, to 83% in May, and reached 89% in June; however, other reported mitigation behaviors (e.g., hand washing, social distancing, and avoiding public or crowded places) declined marginally or remained unchanged. At each time point, the prevalence of reported mitigation behaviors was lowest among younger adults (aged 18-29 years) and highest among older adults (aged ≥60 years). Lower engagement in mitigation behaviors among younger adults might be one reason for the increased incidence of confirmed COVID-19 cases in this group, which have been shown to precede increases among those >60 years (4). These findings underscore the need to prioritize clear, targeted messaging and behavior modification interventions, especially for young adults, to encourage uptake and support maintenance of recommended mitigation behaviors to prevent the spread of COVID-19.
  • Subjects:
  • Source:
    MMWR Morbidity Mortal Weekly Rep. 69(43):1584-1590
  • Series:
  • ISSN:
    0149-2195 (print) ; 1545-861X (digital)
  • Pubmed ID:
    33119562
  • Pubmed Central ID:
    PMC7641002
  • Document Type:
  • Place as Subject:
  • Pages in Document:
    7 pdf pages
  • Volume:
    69
  • Issue:
    43
  • Collection(s):
  • Main Document Checksum:
    urn:sha-512:2da05f8a1bc5c33691fc1e81374d85689479a386e4ad45bffc254152899a7482f86d409c3c3a0aee7c0016b46d65bbcb4ef0284e38450fc5a6470828161e5eed
  • Download URL:
  • File Type:
    Filetype[PDF - 454.80 KB ]
File Language:
English
ON THIS PAGE

CDC STACKS serves as an archival repository of CDC-published products including scientific findings, journal articles, guidelines, recommendations, or other public health information authored or co-authored by CDC or funded partners.

As a repository, CDC STACKS retains documents in their original published format to ensure public access to scientific information.