U.S. flag An official website of the United States government.
Official websites use .gov

A .gov website belongs to an official government organization in the United States.

Secure .gov websites use HTTPS

A lock ( ) or https:// means you've safely connected to the .gov website. Share sensitive information only on official, secure websites.

i

Associations of Metrics of Peak Inhalation Exposure and Skin Exposure Indices With Beryllium Sensitization at a Beryllium Manufacturing Facility

Supporting Files
File Language:
English


Details

  • Alternative Title:
    Ann Work Expo Health
  • Personal Author:
  • Description:
    Objectives

    Peak beryllium inhalation exposures and exposure to the skin may be relevant for developing beryllium sensitization (BeS). The objective of this study was to identify risk factors associated with BeS to inform the prevention of sensitization, and the development of chronic beryllium disease (CBD).

    Methods

    In a survey of short-term workers employed at a primary beryllium manufacturing facility between the years 1994–1999, 264 participants completed a questionnaire and were tested for BeS. A range of qualitative and quantitative peak inhalation metrics and skin exposure indices were created using: personal full-shift beryllium exposure measurements, 15 min to 24 h process-specific task and area exposure measurements, glove measurements as indicator of skin exposure, process-upset information gleaned from historical reports, and self-reported information on exposure events. Hierarchical clustering was conducted to systematically group participants based on similarity of patterns of 16 exposure variables. The associations of the exposure metrics with BeS and self-reported skin symptoms (in work areas processing beryllium salts as well as in other work areas) were evaluated using correlation analysis, log-binomial and logistic regression models with splines.

    Results

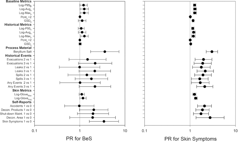
    Metrics of peak inhalation exposure, indices of skin exposure, and using material containing beryllium salts were significantly associated with skin symptoms and BeS; skin symptoms were a strong predictor of BeS. However, in this cohort, we could not tease apart the independent effects of skin exposure from inhalation exposure, as these exposures occurred simultaneously and were highly correlated. Hierarchical clustering identified groups of participants with unique patterns of exposure characteristics resulting in different prevalence of BeS and skin symptoms. A cluster with high skin exposure index and use of material containing beryllium salts had the highest prevalence of BeS and self-reported skin symptoms, followed by a cluster with high inhalation and skin exposure index and a very small fraction of jobs in which beryllium salts were used. A cluster with low inhalation and skin exposure and no workers using beryllium salts had no cases of BeS.

    Conclusion

    Multiple pathways and types of exposure were associated with BeS and may be important for informing BeS prevention. Prevention efforts should focus on controlling airborne beryllium exposures with attention to peaks, use of process characteristics (e.g. the likelihood of upset conditions to design interventions) minimize skin exposure to beryllium particles, and in particular, eliminate skin contact with beryllium salts to interrupt potential exposure pathways for BeS risk.

  • Subjects:
  • Source:
    Ann Work Expo Health. 63(8):856-869
  • Pubmed ID:
    31504146
  • Pubmed Central ID:
    PMC6788944
  • Document Type:
  • Funding:
  • Volume:
    63
  • Issue:
    8
  • Collection(s):
  • Main Document Checksum:
    urn:sha256:51ff4ea297a355b33efedaf165436629fa1724f6d9691058846d0829da606968
  • Download URL:
  • File Type:
    Filetype[PDF - 515.69 KB ]
File Language:
English
ON THIS PAGE

CDC STACKS serves as an archival repository of CDC-published products including scientific findings, journal articles, guidelines, recommendations, or other public health information authored or co-authored by CDC or funded partners.

As a repository, CDC STACKS retains documents in their original published format to ensure public access to scientific information.