U.S. flag An official website of the United States government.
Official websites use .gov

A .gov website belongs to an official government organization in the United States.

Secure .gov websites use HTTPS

A lock ( ) or https:// means you've safely connected to the .gov website. Share sensitive information only on official, secure websites.

i

Epidemiology and cost of Lyme disease-related hospitalizations among patients with employer-sponsored health insurance—United States, 2005–2014

Supporting Files
File Language:
English


Details

  • Alternative Title:
    Zoonoses Public Health
  • Personal Author:
  • Description:
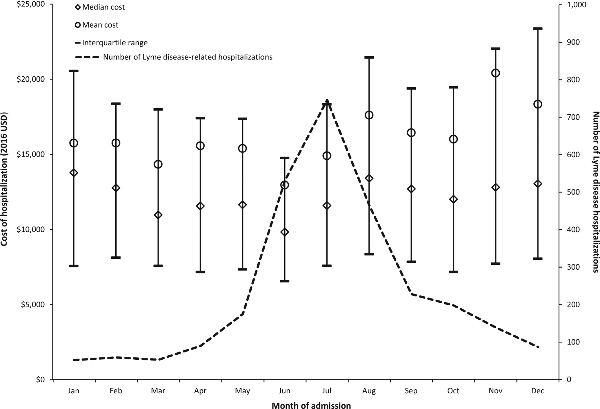
    An estimated 300,000 cases of Lyme disease occur in the United States annually. Disseminated Lyme disease may result in carditis, arthritis, facial palsy or meningitis, sometimes requiring hospitalization. We describe the epidemiology and cost of Lyme disease-related hospitalizations. We analysed 2005-2014 data from the Truven Health Analytics MarketScan Commercial Claims and Encounters Databases to identify inpatient records associated with Lyme disease based on International Classification of Diseases, Ninth Revision, Clinical Modification (ICD-9-CM) codes. We estimated the annual number and median cost of Lyme disease-related hospitalizations in the United States in persons under 65 years of age. Costs were adjusted to reflect 2016 dollars. Of 20,983,165 admission records contained in the inpatient databases during the study period, 2,823 (0.01%) met inclusion criteria for Lyme disease-related hospitalizations. Over half of the identified records contained an ICD-9-CM code for meningitis (n = 614), carditis (n = 429), facial palsy (n = 400) or arthritis (n = 377). Nearly 60% of hospitalized patients were male. The median cost per Lyme disease-related hospitalization was $11,688 (range: $140-$323,613). The manifestation with the highest median cost per stay was carditis ($17,461), followed by meningitis ($15,177), arthritis ($13,012) and facial palsy ($10,491). Median cost was highest among the 15- to 19-year-old age group ($12,991). Admissions occurring in January had the highest median cost ($13,777) for all study years. Based on extrapolation to the U.S. population, we estimate that 2,196 Lyme disease-related hospitalizations in persons under 65 years of age occur annually with an estimated annual cost of $25,826,237. Lyme disease is usually treated in an outpatient setting; however, some patients with Lyme disease require hospitalization, underscoring the need for effective prevention methods to mitigate these serious cases. Information from this analysis can aid economic evaluations of interventions that prevent infection and advances in disease detection.
  • Subjects:
  • Source:
    Zoonoses Public Health. 67(4):407-415
  • Pubmed ID:
    32462811
  • Pubmed Central ID:
    PMC7521202
  • Document Type:
  • Funding:
  • Place as Subject:
  • Volume:
    67
  • Issue:
    4
  • Collection(s):
  • Main Document Checksum:
    urn:sha256:be92e91979b6eb480b9f493f5220270cdb4d9288afd7dbe8c5345fdb0b9cf754
  • Download URL:
  • File Type:
    Filetype[PDF - 733.26 KB ]
File Language:
English
ON THIS PAGE

CDC STACKS serves as an archival repository of CDC-published products including scientific findings, journal articles, guidelines, recommendations, or other public health information authored or co-authored by CDC or funded partners.

As a repository, CDC STACKS retains documents in their original published format to ensure public access to scientific information.