U.S. flag An official website of the United States government.
Official websites use .gov

A .gov website belongs to an official government organization in the United States.

Secure .gov websites use HTTPS

A lock ( ) or https:// means you've safely connected to the .gov website. Share sensitive information only on official, secure websites.

i

Persistence of Bacteriophage Phi 6 on Porous and Nonporous Surfaces and the Potential for Its Use as an Ebola Virus or Coronavirus Surrogate

Supporting Files Public Domain
File Language:
English


Details

  • Alternative Title:
    Appl Environ Microbiol
  • Personal Author:
  • Description:
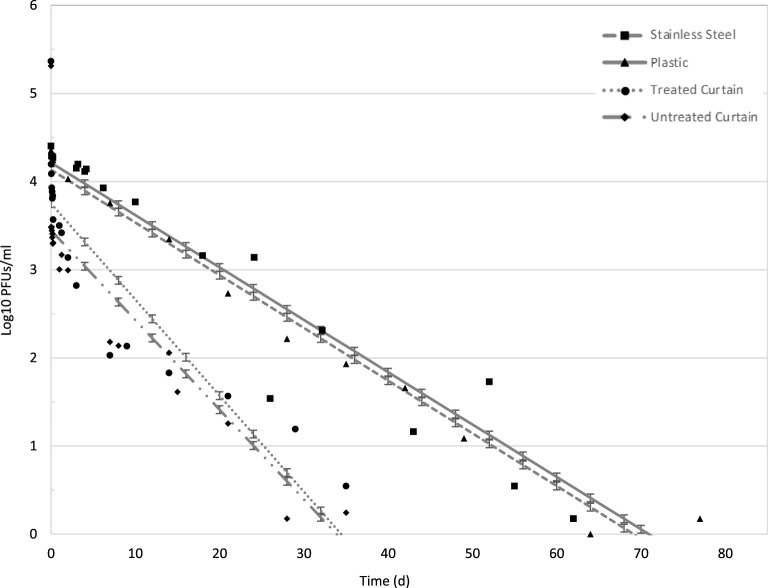
    The infection of health care workers during the 2013 to 2016 Ebola outbreak raised concerns about fomite transmission. In the wake of the coronavirus disease 2019 (COVID-19) pandemic, investigations are ongoing to determine the role of fomites in coronavirus transmission as well. The bacteriophage phi 6 has a phospholipid envelope and is commonly used in environmental studies as a surrogate for human enveloped viruses. The persistence of phi 6 was evaluated as a surrogate for Ebola virus (EBOV) and coronaviruses on porous and nonporous hospital surfaces. Phi 6 was suspended in a body fluid simulant and inoculated onto 1-cm| coupons of steel, plastic, and two fabric curtain types. The coupons were placed at two controlled absolute humidity (AH) levels: a low AH of 3.0 g/m| and a high AH of 14.4 g/m| Phi 6 declined at a lower rate on all materials under low-AH conditions, with a decay rate of 0.06-log| PFU/day to 0.11-log| PFU/day, than under the higher AH conditions, with a decay rate of 0.65-log| PFU/h to 1.42-log| PFU/day. There was a significant difference in decay rates between porous and nonporous surfaces at both low AH (| < 0.0001) and high AH (| < 0.0001). Under these laboratory-simulated conditions, phi 6 was found to be a conservative surrogate for EBOV under low-AH conditions in that it persisted longer than Ebola virus in similar AH conditions. Additionally, some coronaviruses persist longer than phi 6 under similar conditions; therefore, phi 6 may not be a suitable surrogate for coronaviruses.| Understanding the persistence of enveloped viruses helps inform infection control practices and procedures in health care facilities and community settings. These data convey to public health investigators that enveloped viruses can persist and remain infective on surfaces, thus demonstrating a potential risk for transmission. Under these laboratory-simulated Western indoor hospital conditions, we assessed the suitability of phi 6 as a surrogate for environmental persistence research related to enveloped viruses, including EBOV and coronaviruses.
  • Subjects:
  • Source:
    Appl Environ Microbiol. 86(17)
  • Pubmed ID:
    32591388
  • Pubmed Central ID:
    PMC7440805
  • Document Type:
  • Volume:
    86
  • Issue:
    17
  • Collection(s):
  • Main Document Checksum:
    urn:sha256:d357d29178aa0f34f0d71947c2f161f812387f89ad0833c1cb98c2e4fff9a895
  • Download URL:
  • File Type:
    Filetype[PDF - 370.27 KB ]
File Language:
English
ON THIS PAGE

CDC STACKS serves as an archival repository of CDC-published products including scientific findings, journal articles, guidelines, recommendations, or other public health information authored or co-authored by CDC or funded partners.

As a repository, CDC STACKS retains documents in their original published format to ensure public access to scientific information.