U.S. flag An official website of the United States government.
Official websites use .gov

A .gov website belongs to an official government organization in the United States.

Secure .gov websites use HTTPS

A lock ( ) or https:// means you've safely connected to the .gov website. Share sensitive information only on official, secure websites.

i

THE EFFECT OF BLOOD GLUCOSE ON QUIET STANDING BALANCE IN YOUNG HEALTHY INDIVIDUALS

Supporting Files
File Language:
English


Details

  • Alternative Title:
    Biomed Eng (Singapore)
  • Personal Author:
  • Description:
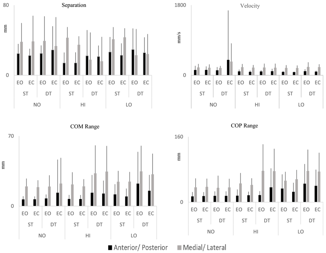
    Falling is one of the leading causes of accidental injury and death among elderly adults and construction workers, with costs exceeding US$31 billion each year. Having good balance reduces the likelihood of falling - therefore it is important to determine which possible factors might influence balance. The purpose of this study was to determine if consuming three different types of breakfast altered blood glucose levels in such a way that young healthy individual's balance control was compromised. Balance was then measured while the subjects completed single- and dual-task standing trials with eyes open and closed. Although changing blood glucose did alter quiet standing balance - as measured by the separation distance between the COG and COP, the velocity of the COM, and the total distance traveled by the COG and COP along the anterior-posterior (AP) and medial-lateral (ML) axes - the results were contradictory to what was hypothesized. Subjects with lower blood glucose swayed less than those with higher blood glucose. This could potentially be due to the habitual skipping of breakfast in young adults. Though the changing of blood glucose did influence quiet standing balance of young healthy adults, it was not in a way which increased the risk of falling.
  • Subjects:
  • Source:
    Biomed Eng (Singapore). 32(2)
  • Pubmed ID:
    32831529
  • Pubmed Central ID:
    PMC7437970
  • Document Type:
  • Funding:
  • Volume:
    32
  • Issue:
    2
  • Collection(s):
  • Main Document Checksum:
    urn:sha256:df850728f090810a27f6f8b7e31dd075966e8a9b6b34cee3c5b9cad63f2ea168
  • Download URL:
  • File Type:
    Filetype[PDF - 210.62 KB ]
File Language:
English
ON THIS PAGE

CDC STACKS serves as an archival repository of CDC-published products including scientific findings, journal articles, guidelines, recommendations, or other public health information authored or co-authored by CDC or funded partners.

As a repository, CDC STACKS retains documents in their original published format to ensure public access to scientific information.