Serological Data Shows Low Levels of Chikungunya Exposure in Senegalese Nomadic Pastoralists
Supporting Files
Public Domain
-
July 27 2019
-
File Language:
English
Details
-
Alternative Title:Pathogens
-
Personal Author:
-
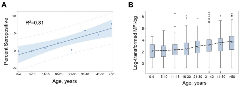
Description:The chikungunya virus (CHIKV) is spread by | and | mosquitos worldwide; infection can lead to disease including joint pain, fever, and rash, with some convalescent persons experiencing chronic symptoms. Historically, CHIKV transmission has occurred in Africa and Asia, but recent outbreaks have taken place in Europe, Indonesia, and the Americas. From September to October 2014, a survey was undertaken with nomadic pastoralists residing in the northeast departments of Senegal. Blood dried on filter paper (dried blood spots; DBS) were collected from 1465 participants of all ages, and assayed for Immunoglobulin G (IgG) antibodies against CHIKV E1 antigen by a bead-based multiplex assay. The overall seroprevalence of all participants to CHIKV E1 was 2.7%, with no persons under 10 years of age found to be antibody positive. Above 10 years of age, clear increases of seroprevalence and IgG levels were observed with increasing age; 7.6% of participants older than 50 years were found to be positive for anti-CHIKV IgG. Reported net ownership, net usage, and gender were all non-significant explanatory variables of seropositivity. These data show a low-level historical exposure of this pastoralist population to CHIKV, with no evidence of recent CHIKV transmission in the past decade.
-
Subjects:
-
Source:Pathogens. 2019; 8(3)
-
Pubmed ID:31357631
-
Pubmed Central ID:PMC6789836
-
Document Type:
-
Volume:8
-
Issue:3
-
Collection(s):
-
Main Document Checksum:urn:sha256:69631367c356de7cf27208a6138754c7c7cb13d8df9642eb0c14025033222b80
-
Download URL:
-
File Type:
Supporting Files
File Language:
English
ON THIS PAGE
CDC STACKS serves as an archival repository of CDC-published products including
scientific findings,
journal articles, guidelines, recommendations, or other public health information authored or
co-authored by CDC or funded partners.
As a repository, CDC STACKS retains documents in their original published format to ensure public access to scientific information.
As a repository, CDC STACKS retains documents in their original published format to ensure public access to scientific information.
You May Also Like
COLLECTION
CDC Public Access