Rift valley fever viral load correlates with the human inflammatory response and coagulation pathway abnormalities in humans with hemorrhagic manifestations
Supporting Files
-
May 04 2018
-
File Language:
English
Details
-
Alternative Title:PLoS Negl Trop Dis
-
Personal Author:
-
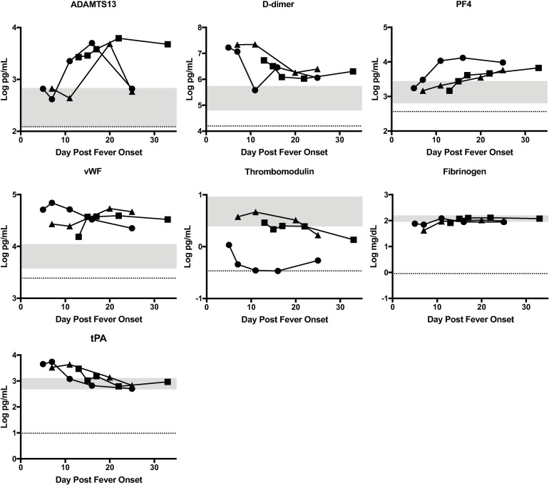
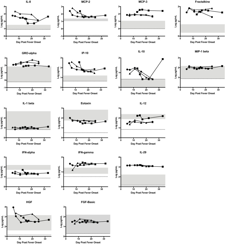
Description:Rift Valley fever virus is an arbovirus that affects both livestock and humans throughout Africa and in the Middle East. Despite its endemicity throughout Africa, it is a rare event to identify an infected individual during the acute phase of the disease and an even rarer event to collect serial blood samples from the affected patient. Severely affected patients can present with hemorrhagic manifestations of disease. In this study we identified three Ugandan men with RVFV disease that was accompanied by hemorrhagic manifestations. Serial blood samples from these men were analyzed for a series of biomarkers specific for various aspects of human pathophysiology including inflammation, endothelial function and coagulopathy. There were significant differences between biomarker levels in controls and cases both early during the illness and after clearance of viremia. Positive correlation of viral load with markers of inflammation (IP-10, CRP, Eotaxin, MCP-2 and Granzyme B), markers of fibrinolysis (tPA and D-dimer), and markers of endothelial function (sICAM-1) were all noted. However, and perhaps most interesting given the fact that these individuals exhibited hemorrhagic manifestations of disease, was the finding of a negative correlation between viral load and P-selectin, ADAMTS13, and fibrinogen all of which are associated with coagulation pathways occurring on the endothelial surface.
-
Subjects:
-
Source:PLoS Negl Trop Dis. 12(5)
-
Pubmed ID:29727450
-
Pubmed Central ID:PMC5955566
-
Document Type:
-
Funding:
-
Volume:12
-
Issue:5
-
Collection(s):
-
Main Document Checksum:urn:sha256:110130ae67f8319071423f4a8ea45b58fca8ee772438ba21bca041282bb0aa7f
-
Download URL:
-
File Type:
Supporting Files
File Language:
English
ON THIS PAGE
CDC STACKS serves as an archival repository of CDC-published products including
scientific findings,
journal articles, guidelines, recommendations, or other public health information authored or
co-authored by CDC or funded partners.
As a repository, CDC STACKS retains documents in their original published format to ensure public access to scientific information.
As a repository, CDC STACKS retains documents in their original published format to ensure public access to scientific information.
You May Also Like
COLLECTION
CDC Public Access