U.S. flag An official website of the United States government.
Official websites use .gov

A .gov website belongs to an official government organization in the United States.

Secure .gov websites use HTTPS

A lock ( ) or https:// means you've safely connected to the .gov website. Share sensitive information only on official, secure websites.

i

Experimental infection of Egyptian rousette bats (Rousettus aegyptiacus) with Sosuga virus demonstrates potential transmission routes for a bat-borne human pathogenic paramyxovirus

Supporting Files Public Domain
File Language:
English


Details

  • Alternative Title:
    PLoS Negl Trop Dis
  • Personal Author:
  • Description:
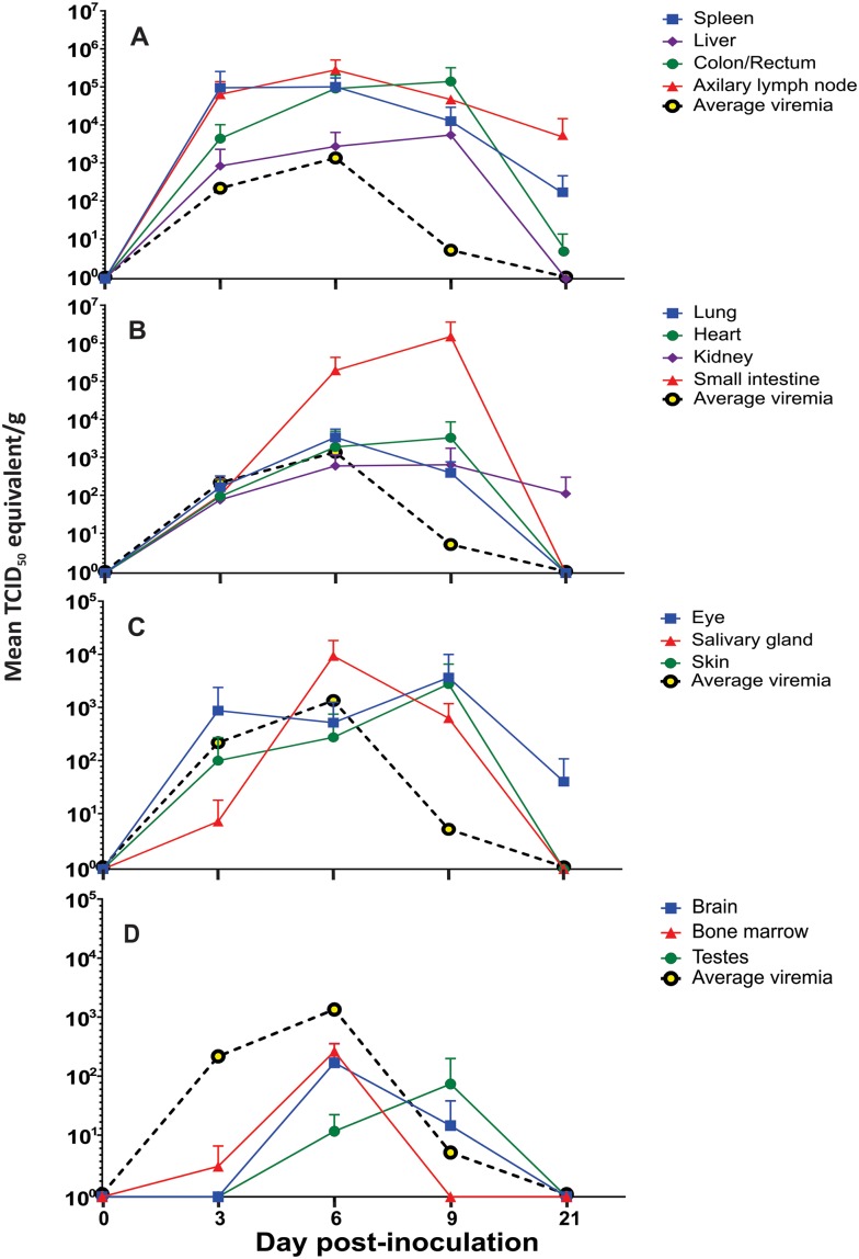
    In August 2012, a wildlife biologist became severely ill after becoming infected with a novel paramyxovirus, termed Sosuga virus. In the weeks prior to illness, the patient worked with multiple species of bats in South Sudan and Uganda, including Egyptian rousette bats (ERBs: Rousettus aegyptiacus). A follow-up study of Ugandan bats found multiple wild-caught ERBs to test positive for SOSV in liver and spleen. To determine the competency of these bats to act as a natural reservoir host for SOSV capable of infecting humans, captive-bred ERBs were inoculated with a recombinant SOSV, representative of the patient's virus sequence. The bats were inoculated subcutaneously, sampled daily (blood, urine, fecal, oral and rectal swabs) and serially euthanized at predetermined time points. All inoculated bats became infected with SOSV in multiple tissues and blood, urine, oral, rectal and fecal swabs tested positive for SOSV RNA. No evidence of overt morbidity or mortality were observed in infected ERBs, although histopathological examination showed subclinical disease in a subset of tissues. Importantly, SOSV was isolated from oral/rectal swabs, urine and feces, demonstrating shedding of infectious virus concomitant with systemic infection. All bats euthanized at 21 days post-inoculation (DPI) seroconverted to SOSV between 16 and 21 DPI. These results are consistent with ERBs being competent reservoir hosts for SOSV with spillover potential to humans.
  • Subjects:
  • Source:
    PLoS Negl Trop Dis. 14(3)
  • Pubmed ID:
    32119657
  • Pubmed Central ID:
    PMC7067492
  • Document Type:
  • Place as Subject:
  • Volume:
    14
  • Issue:
    3
  • Collection(s):
  • Main Document Checksum:
    urn:sha256:8b93e845ef1f7b897072cae00e9a4f4dfb7bcef51158b64d5dc352bd63460c20
  • Download URL:
  • File Type:
    Filetype[PDF - 2.62 MB ]
File Language:
English
ON THIS PAGE

CDC STACKS serves as an archival repository of CDC-published products including scientific findings, journal articles, guidelines, recommendations, or other public health information authored or co-authored by CDC or funded partners.

As a repository, CDC STACKS retains documents in their original published format to ensure public access to scientific information.