Comparative Immunogenicity of Several Enhanced Influenza Vaccine Options for Older Adults: A Randomized, Controlled Trial
Supporting Files
-
Oct 23 2020
File Language:
English
Details
-
Alternative Title:Clin Infect Dis
-
Personal Author:Cowling, Benjamin J. ; Perera, Ranawaka A. P. M. ; Valkenburg, Sophie A. ; Leung, Nancy H. L. ; Iuliano, A. Danielle ; Tam, Yat Hung ; Wong, Jennifer H. F. ; Fang, Vicky J. ; Li, Athena P. Y. ; So, Hau Chi ; Ip, Dennis K. M. ; Azziz-Baumgartner, Eduardo ; Fry, Alicia M. ; Levine, Min Z. ; Gangappa, Shivaprakash ; Sambhara, Suryaprakash ; Barr, Ian G. ; Skowronski, Danuta M. ; Peiris, J. S. Malik ; Thompson, Mark G.
-
Description:Background.
Enhanced influenza vaccines may improve protection for older adults, but comparative immunogenicity data are limited. Our objective was to examine immune responses to enhanced influenza vaccines, compared to standard-dose vaccines, in community-dwelling older adults.
Methods.
Community-dwelling older adults aged 65–82 years in Hong Kong were randomly allocated (October 2017–January 2018) to receive 2017–2018 Northern hemisphere formulations of a standard-dose quadrivalent vaccine, MF59-adjuvanted trivalent vaccine, high-dose trivalent vaccine, or recombinant-hemagglutinin (rHA) quadrivalent vaccine. Sera collected from 200 recipients of each vaccine before and at 30-days postvaccination were assessed for antibodies to egg-propagated vaccine strains by hemagglutination inhibition (HAI) and to cell-propagated A/Hong Kong/4801/2014(H3N2) virus by microneutralization (MN). Influenzaspecific CD4+ and CD8+ T cell responses were assessed in 20 participants per group.
Results.
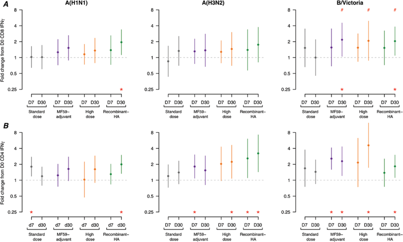
Mean fold rises (MFR) in HAI titers to egg-propagated A(H1N1) and A(H3N2) and the MFR in MN to cell-propagated A(H3N2) were statistically significantly higher in the enhanced vaccine groups, compared to the standard-dose vaccine. The MFR in MN to cell-propagated A(H3N2) was highest among rHA recipients (4.7), followed by high-dose (3.4) and MF59-adjuvanted (2.9) recipients, compared to standard-dose recipients (2.3). Similarly, the ratio of postvaccination MN titers among rHA recipients to cell-propagated A(H3N2) recipients was 2.57-fold higher than the standard-dose vaccine, which was statistically higher than the high-dose (1.33-fold) and MF59-adjuvanted (1.43-fold) recipient ratios. Enhanced vaccines also resulted in the boosting of T-cell responses.
Conclusions.
In this head-to-head comparison, older adults receiving enhanced vaccines showed improved humoral and cell-mediated immune responses, compared to standard-dose vaccine recipients.
Clinical Trials Registration.
NCT03330132.
-
Subjects:
-
Source:Clin Infect Dis. 71(7):1704-1714
-
Pubmed ID:31828291
-
Pubmed Central ID:PMC7289658
-
Document Type:
-
Funding:
-
Volume:71
-
Issue:7
-
Collection(s):
-
Main Document Checksum:urn:sha256:2239dc26082344bf692c330dee249921a093a913665ac65071392afb7ff73053
-
Download URL:
-
File Type:
Supporting Files
File Language:
English
ON THIS PAGE
CDC STACKS serves as an archival repository of CDC-published products including
scientific findings,
journal articles, guidelines, recommendations, or other public health information authored or
co-authored by CDC or funded partners.
As a repository, CDC STACKS retains documents in their original published format to ensure public access to scientific information.
As a repository, CDC STACKS retains documents in their original published format to ensure public access to scientific information.
You May Also Like
COLLECTION
CDC Public Access