U.S. flag An official website of the United States government.
Official websites use .gov

A .gov website belongs to an official government organization in the United States.

Secure .gov websites use HTTPS

A lock ( ) or https:// means you've safely connected to the .gov website. Share sensitive information only on official, secure websites.

i

How do changes in the population tested for chlamydia over time affect observed trends in chlamydia positivity? Analysis of routinely collected data from young women tested for chlamydia in family planning clinics in the Pacific Northwest (USA), between 2003 and 2010

Supporting Files
File Language:
English


Details

  • Journal Article:
    Sex Health
  • Personal Author:
  • Description:
    Background:

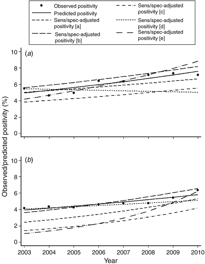
    The proportion of chlamydia tests that are positive (positivity) is dependent on the population tested and the test technology used. The way in which changes in these variables might affect trends in positivity over time is investigated.

    Methods:

    Data from 15- to 24-year-old women tested for chlamydia in family planning clinics participating in the Infertility Prevention Project in the Pacific Northwest, United States (USA Public Health Service Region X) during 2003–2010 (n = 590 557) were analysed. Trends in positivity and in test, demographic and sexual behaviour variables were identified. Unadjusted and adjusted trends in chlamydia positivity were calculated using logistic regression.

    Results:

    The proportion of tests carried out using nucleic acid amplification tests (NAATs) increased dramatically during the analysis period in two states. Smaller changes in demographic and behavioural characteristics were seen. Controlling for test technology used had the largest effect on the trend in testing positive per year, leading to a fall in the calculated odds ratio of testing positive from 1.06 to 1.02 in Oregon, and from 1.07 to 1.02 in Idaho. Controlling for other variables had minimal effect on chlamydia positivity trends.

    Conclusions:

    Changes in NAAT use had a large effect on observed trends in chlamydia positivity over time in the two states where NAATs were introduced during the analysis period. While trends in chlamydia positivity may be a useful metric for monitoring chlamydia burden, it is important to consider changes in test type when interpreting these data.

  • Subjects:
  • Source:
    Sex Health. 12(6):512-519
  • DOI:
  • Pubmed ID:
    26363873
  • Pubmed Central ID:
    PMC6893300
  • Document Type:
  • Funding:
  • Genre:
  • Volume:
    12
  • Issue:
    6
  • Collection(s):
  • Main Document Checksum:
    urn:sha-512:c3a9dd974f36ee401151a598a8a8ff048277f584ffda0a192a53552f93a11eecdc12e0235414d5c7504c8331f8caa6a4996b2144cca339ed9b8af110f98fef26
  • Download URL:
  • File Type:
    Filetype[PDF - 1.14 MB ]
File Language:
English
ON THIS PAGE

CDC STACKS serves as an archival repository of CDC-published products including scientific findings, journal articles, guidelines, recommendations, or other public health information authored or co-authored by CDC or funded partners.

As a repository, CDC STACKS retains documents in their original published format to ensure public access to scientific information.